首页 > 高考 > 真题题库 > 上海高考 > 2020年上海高考数学试题真题及答案

2020年上海高考数学试题真题及答案(Word版)

时间:2020-08-31 19:07:00   来源:无忧考网     [字体:小 中 大]

【文档名称】 2020年上海高考数学试题真题及答案(Word版).doc

【文档格式】 Word版

【文档下载】 点击下载WORD文档

【文档预览】 无忧考网整理发布2020年上海高考数学试题真题及答案(Word版),前五页预览如下:


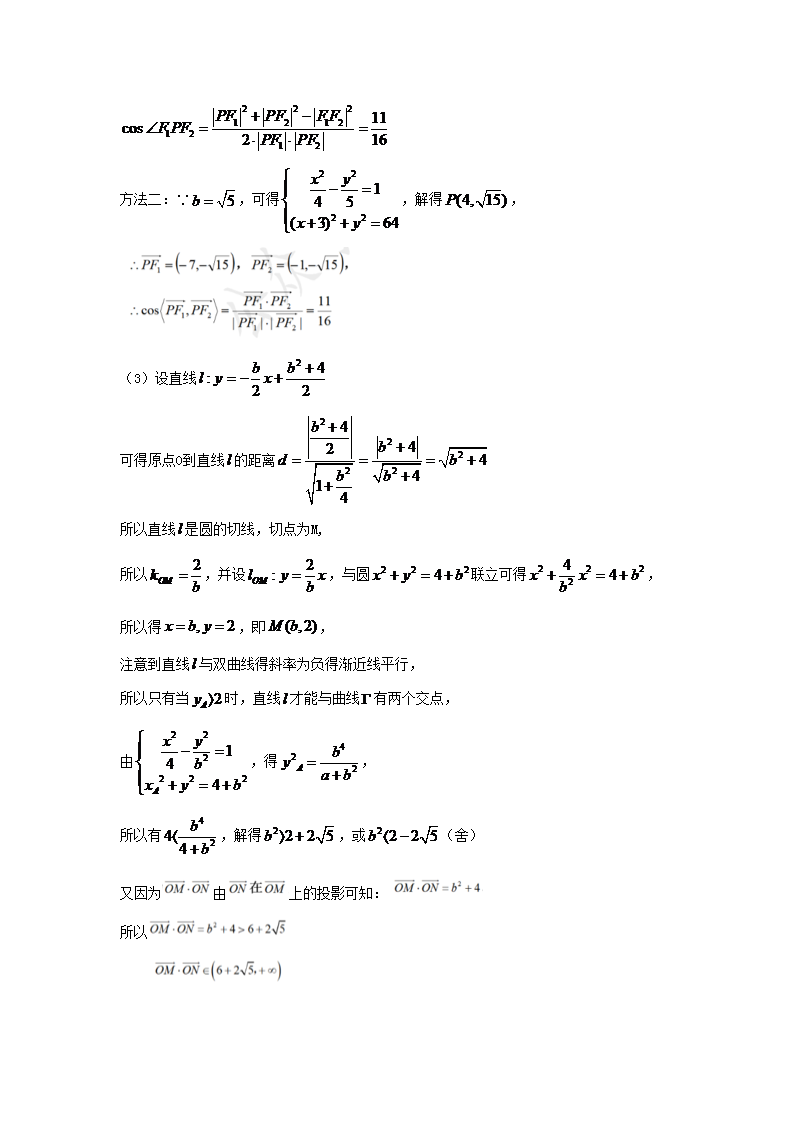
2020年上海高考数学试题真题及答案.doc
立即下载Word高清文档,方便收藏和打印
编辑推荐:
下载Word文档
=高考试题推荐=
  • 2025年上海高考数学试题及答案
  • 2024年上海高考数学真题及答案
  • 2024年上海普通高中学业水平等级性考试物理真题及答案
  • 2024年上海普通高中学业水平等级性考试地理真题及答案
  • 2024年上海普通高中学业水平等级性考试历史真题及答案
  • 2024年上海普通高中学业水平等级性考试化学真题及答案
  • 2024年上海高考数学试题及答案
  • 2023年上海高考数学真题及答案
  • 查看高考全部真题>>
高考上海热点文章排行榜
  • 上海市教育考试院2025年上海高考网上报名入口开通
  • 上海高考时间2025年具体时间及科目安排(6月7日
  • 2025年上海高考准考证打印网站入口:https:
  • 2025年上海高考考点考场查询入口网址:https
  • 2025年上海高考时间及科目安排公布 附考试准备及
  • 2025年上海高考时间及具体科目安排表(6月7日至
  • 2025年上海高考数学试题及答案
  • 2025年上海高考成绩查询网站、查分入口:上海市教