首页 > 会考 > 真题题库 > 安徽会考 > 2018年安徽省普通高中会考数学真题及答案

2018年安徽省普通高中会考数学真题及答案(Word版)

时间:2020-07-21 12:57:00   来源:无忧考网     [字体:小 中 大]

【文档名称】 2018年安徽省普通高中会考数学真题及答案(Word版).doc

【文档格式】 Word版

【文档下载】 点击下载WORD文档

【文档预览】 无忧考网整理发布2018年安徽省普通高中会考数学真题及答案(Word版),前五页预览如下:


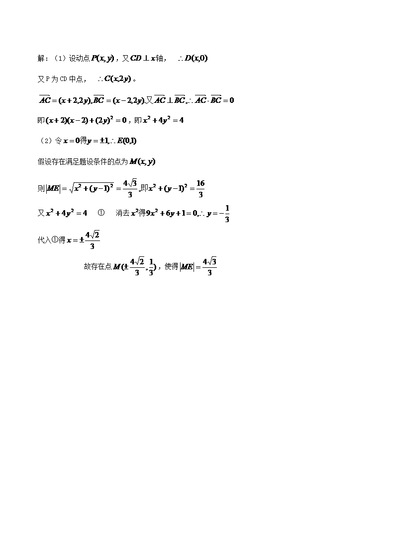
2018年安徽省普通高中会考数学真题及答.doc
立即下载Word高清文档,方便收藏和打印
编辑推荐:
下载Word文档
=会考试题推荐=
  • 2025年安徽学考选择性考试物理试题及答案
  • 2025年安徽学考选择性考试化学试题及答案
  • 2025年安徽学考选择性考试生物试题及答案
  • 2024年安徽学考选择性考试化学试题及答案
  • 2023年安徽普通高中学业水平考试英语试题及答案
  • 2023年安徽普通高中学业水平考试通用技术试题及答案
  • 2023年安徽普通高中学业水平考试历史试题
  • 2022年安徽普通高中学业水平考试语文试题
  • 查看高中会考全部真题>>
会考安徽热点文章排行榜
  • 2025年1月安徽普通高中学业水平合格性考试成绩查
  • 安徽2025年普通高中学业水平合格性考试时间及科目
  • 安徽阜阳2025年普通高中学业水平合格性考试时间及
  • 2025年1月安徽合肥普通高中学业水平合格性考试成
  • 安徽2025年普通高中学业水平合格性考试报名时间及
  • 2025年1月安徽宿州普通高中学业水平合格性考试成
  • 安徽2025年普通高中学业水平合格性考试报名考试安
  • 安徽芜湖2025年普通高中学业水平合格性考试时间及