首页 > 中考 > 最新信息 > 浙江中考 > 杭州中考 > 2020年浙江杭州萧山中考分数线出炉

2020年浙江杭州萧山中考分数线出炉

时间:2020-07-05 10:19:00   来源:无忧考网     [字体:小 中 大]
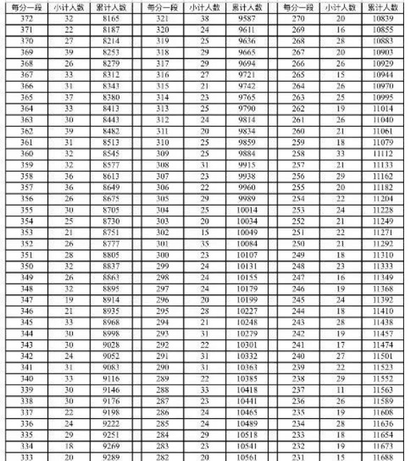
【#中考# #2020年浙江杭州萧山中考分数线出炉#】刚刚,萧山中考分数排名出炉!

  由于今年中考体育取消

  总分比往年少30分。

  因此,第一批定向分配录取控制分

  比去年略低,为465分。













2020年浙江杭州萧山中考分数线出炉
=中考试题推荐=
  • 2022年浙江杭州中考化学真题及答案
  • 2023年浙江杭州中考语文真题及答案
  • 2023年浙江杭州中考英语试题及答案
  • 2023年浙江杭州中考数学试题及答案
  • 2023年浙江杭州中考科学试题及答案
  • 2023年浙江杭州中考道德与法治.历史与社会试题及答案
  • 查看中考全部真题 >>
=中考文档推荐=
  • 2025年浙江杭州中考录取分数线
  • 2025年浙江杭州中考成绩查询入口、查分入口开通
  • 2025年浙江杭州中考成绩查询时间及查分入口:7月1日
  • 2025年浙江杭州萧山中考成绩查询入口已开通 两种查分方式
  • 2025年浙江杭州中考时间6月21日-22日 9.5万名
  • 2025年浙江杭州中考作文题目已公布
  • 查看中考全部文档 >>
2020年浙江杭州萧山中考分数线出炉.docx
立即下载Word高清文档,方便收藏和打印(386字)
编辑推荐:
下载Word文档
中考浙江热点文章排行榜
  • 浙江嘉兴中考时间2025年具体时间及科目(6月21
  • 浙江湖州中考时间2025年具体时间及科目(6月21
  • 浙江中考时间2025年具体时间及科目(6月21日-
  • 浙江舟山中考时间2025年具体时间及科目(6月21
  • 浙江温州中考时间2025年具体时间及科目(6月21
  • 浙江绍兴中考时间2025年具体时间及科目(6月21
  • 浙江宁波中考时间2025年具体时间及科目(6月21
  • 浙江杭州中考时间2025年具体时间及科目(6月21