
【篇一】2020年成人高考高起点《数学》重要知识点
【实数的分类】
【自然数】 表示物体个数的1、2、3、4···等都称为自然数
【质数与合数】
一个大于1的整数,如果除了它本身和1以外不能被其它正整数所整除,那么这个数称为质数。一个大于1的数,如果除了它本身和1以外还能被其它正整数所整除,那么这个数知名人士为合数,1既不是质数又不是合数。
【相反数】只有符号不同的两个实数,其中一个叫做另一个的相反数。零的相反数是零。
【绝对值】
一个正数的绝对值是它本身,一个负数绝对值是它的相反数,零的绝对值为零。
从数轴上看,一个实数的绝对值是表示这个数的点离开原点距离。
【倒数】 1除以一个非零实数的商叫这个实数的倒数。零没有倒数。
【完全平方数】如果一个有理数a的平方等于有理数b,那么这个有理数b叫做完全平方数。
【方根】如果一个数的n次方(n是大于1的整数)等于a,这个数叫做a的n次方根。
【开方】求一数的方根的运算叫做开方。
【算术根】正数a的正的n次方根叫做a的n次算术根,零的算术根是零,负数没有算术根。
【篇二】2020年成人高考高起点《数学》重要知识点
【代数式】
用有限次运算符号(加、减、乘、除、乘方、开方)把数或表示数的字母连结所得的式子,叫做代数式。
【代数式的值】
用数值代替代数式里的字母,计算后所得的结果,叫做当这个字母取这个数值时的代数式的值。
【代数式的分类】
【有理式】只含有加、减、乘、除和乘方运算的代数式叫有理式
【无理式】根号下含有字母的代数式叫做无理式
【整式】没有除法运算或者虽有除法运算而除式中不含字母的有理式叫整式
【篇三】2020年成人高考高起点《数学》重要知识点
直线 (不定义)直线向两方无限延伸,它无端点。
射线 在直线上某一点旁的部分。射线只有一个端点。
线段 直线上两点间的部分。它有两个端点。
垂线 如果两条直线相交成直角,那么称这两条直线互相垂直。其中一条叫另一条的垂线,它们的交点叫垂足。
斜线 如果两条直线不相交成直角时,其中一条直线叫另一条直线的斜线。
点到直线的距离从直线外一点到这条直线的垂线段的长度,叫做点到直线距离。
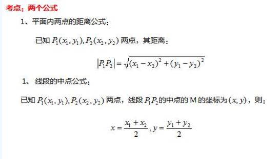
【篇四】2020年成人高考高起点《数学》重要知识点

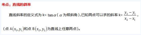
【篇五】2020年成人高考高起点《数学》重要知识点

【篇六】2020年成人高考高起点《数学》重要知识点
