首页 > 卫生资格 > 最新信息 > 2020年卫生资格考试大纲:康复医学治疗技术初级(士)

2020年卫生资格考试大纲:康复医学治疗技术初级(士)

时间:2020-01-08 11:37:00   来源:中国卫生人才网     [字体:小 中 大]
【#卫生资格考试# #2020年卫生资格考试大纲:康复医学治疗技术初级(士)#】©无忧考网从中国卫生人才网获悉,2020年卫生资格考试大纲:康复医学治疗技术初级(士)已公布,考试时间分别为5月23日-24日、5月30日-31日,具体详情如下:
























































































































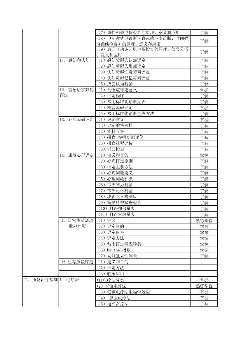
2020年卫生资格考试大纲:康复医学治疗技术初级(士)
=卫生资格文档推荐=
  • 2026年卫生专业技术资格考试合格分数线公布!合格标准为60分
  • 2026年卫生专业技术资格考试成绩查询时间、方式及入口(考后2个月内)
  • 2026年卫生资格考试时间、科目、方式、题型及大纲(4月11、12、18、19、25、26日)
  • 2026年卫生专业技术资格考试准考证打印时间及入口(4月1-26日)
  • 2026年卫生专业技术资格考试报名缴费时间及入口(2月4-13日)
  • 2026年卫生专业技术资格考试报名确认时间、地点、方式及资格审核结果查询入口公布
  • 查看卫生资格考试全部文档 >>
2020年卫生资格考试大纲:康复医学治疗.docx
立即下载Word高清文档,方便收藏和打印(3955字)
编辑推荐:
下载Word文档
卫生资格热点文章排行榜
  • 2025年福建卫生资格考试报名网站:https:/
  • 2025年卫生专业技术资格考试时间、科目及方式(4
  • 2025年新疆卫生专业技术资格考试合格分数线公布
  • 2024年山东卫生专业技术资格考试证书查询及下载入
  • 2025年青海卫生资格考试报名网站:https:/
  • 2025年贵州卫生资格考试报名网站:https:/
  • 2025年四川卫生资格考试报名网站:https:/
  • 2025年广西卫生资格考试报名网站:https:/