首页
>
高考
>
最新信息
>
青海高考
>
2019年青海警官职业学院提前专科批次专业招生合格名单
2019年青海警官职业学院提前专科批次专业招生合格名单
时间:2019-07-03 18:35:00 来源:青海教育考试网 [字体:
小
中
大
]
【#
高考
# #
2019年青海警官职业学院提前专科批次专业招生合格名单
#】
©
无忧考
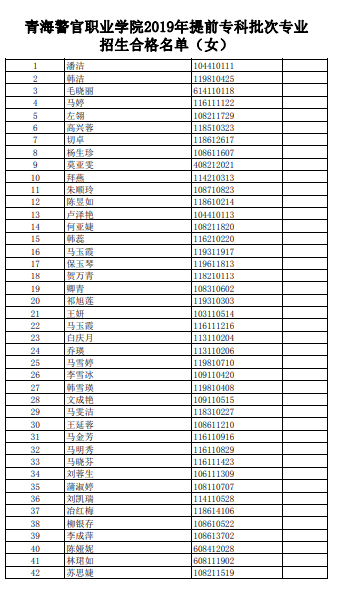
网高考频道了解到,青海教育考试网发布了《2019年青海警官职业学院提前专科批次专业招生合格名单》具体人员名单公示如下:
=高考试题推荐=
2025年青海普通高中学业水平选择性考试政治试题及答案
2025年青海普通高中学业水平选择性考试物理试题及答案
2025年青海普通高中学业水平选择性考试生物试题及答案
2025年青海普通高中学业水平选择性考试历史试题及答案
2025年青海普通高中学业水平选择性考试化学试题及答案
2025年青海普通高中学业水平选择性考试地理试题及答案
查看高考全部真题 >>
=高考文档推荐=
青海省2026年美术与设计类、书法类专业省级统考温馨提示
青海省2026年普通高考艺术类专业考试须知
2025年青海高考高职(专科)批次⑩段第一次征集志愿投档信息查询入口开通
青海2025年高考本科提前批次⑤段和本科批次⑦段投档信息查询入口开通
2025年青海高考本科提前批次(②段、 ⑤段)和本科批次⑦段征集志愿投档信息查询入口
2025年青海普通高校招生本科批次⑦段投档信息查询入口开通
查看高考全部文档 >>
2019年青海警官职业学院提前专科批次专.docx
立即下载Word高清文档,方便收藏和打印(1275字)
编辑推荐:
下载Word文档
高考青海热点文章排行榜
青海省教育招生考试网:2025年青海高考网上报名入
2025年青海高考成绩查询网站、查分入口:青海省教
青海高考时间2025年具体时间及科目安排(6月7日
2025年青海高考成绩查询时间及查分入口:6月25
2025年青海高考录取批次分段设置及投档规则公布
青海省教育考试网:2025年青海高考准考证打印入口
2025年青海高考志愿填报在高考成绩公布后进行
2025年青海高考考点考场查询入口网址:http: