首页 > 成考 > 真题题库 > 历年成人高考数学试题真题试卷题型及答案

历年成人高考数学试题真题试卷题型及答案

时间:2019-01-29 04:07:00   来源:无忧考网     [字体:小 中 大]

【#成人高考# #历年成人高考数学试题真题试卷题型及答案#】®无忧考网权威发布历年成人高考数学试题真题试卷题型及答案。




点击下载:历年成人高考数学试题真题试卷题型及答案.zip

历年成人高考数学试题真题试卷题型及答案
=成考试题推荐=
  • 2022年北京成人高考专升本政治真题及答案
  • 2022年北京成人高考专升本语文真题及答案
  • 2022年北京成人高考专升本英语真题及答案
  • 2022年北京成人高考专升本艺术概论真题及答案
  • 2022年北京成人高考专升本医学综合真题及答案
  • 2022年北京成人高考专升本高等数学(二)真题及答案
  • 查看成人高考全部真题>>
=成考文档推荐=
  • 历年成人高考专升本英语作文
  • 历年成人高考作文范文(2016)
  • 历年成人高考专升本作文五篇(2018年)
  • 历年成人高考专升本作文五篇(2017年)
  • 历年成人高考作文范文700字三篇
  • 历年成人高考专升本政治模拟题及答案(2)
  • 查看成人高考全部文档 >>
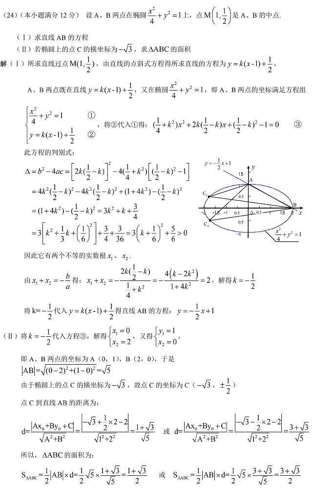
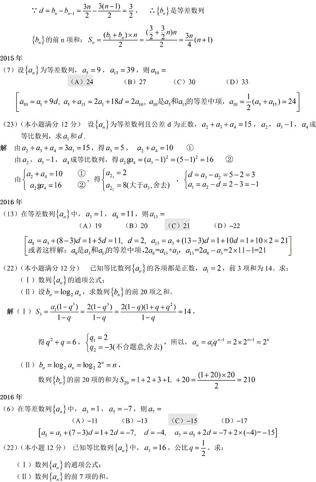
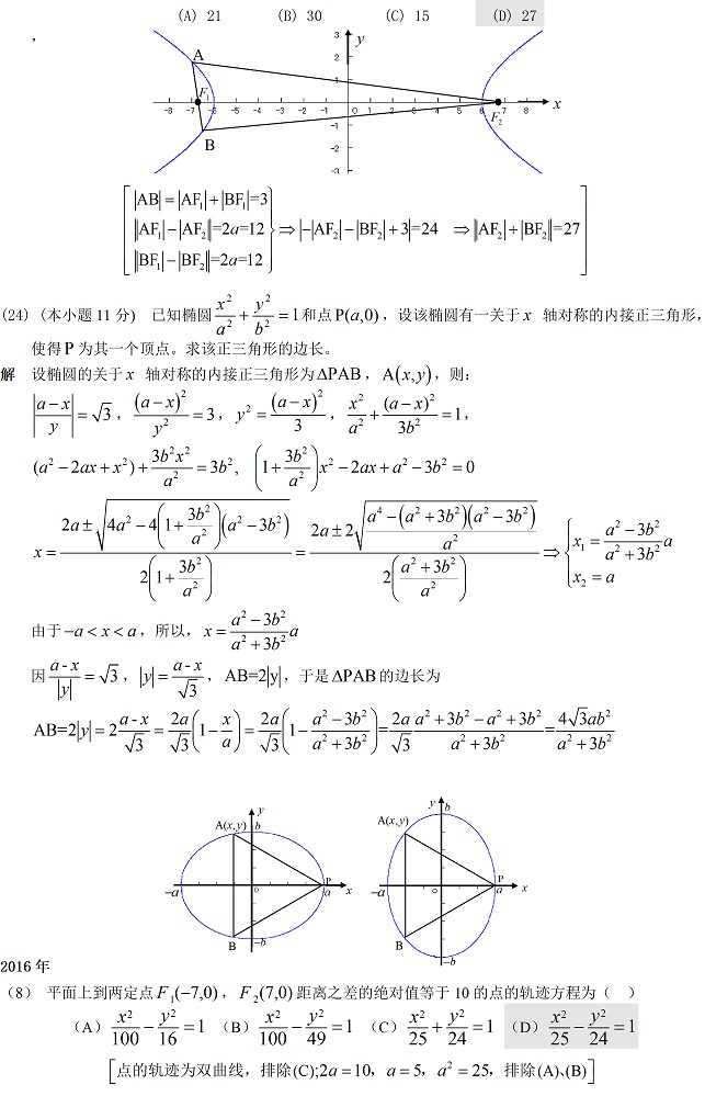
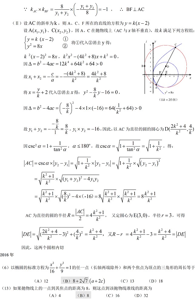
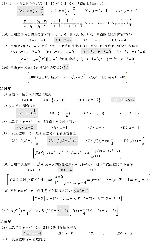
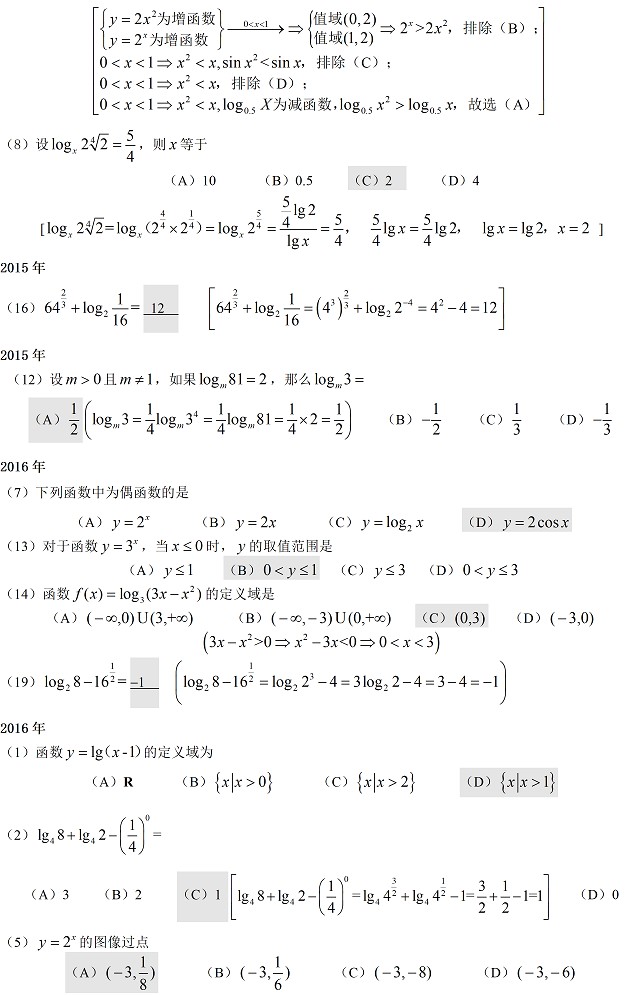
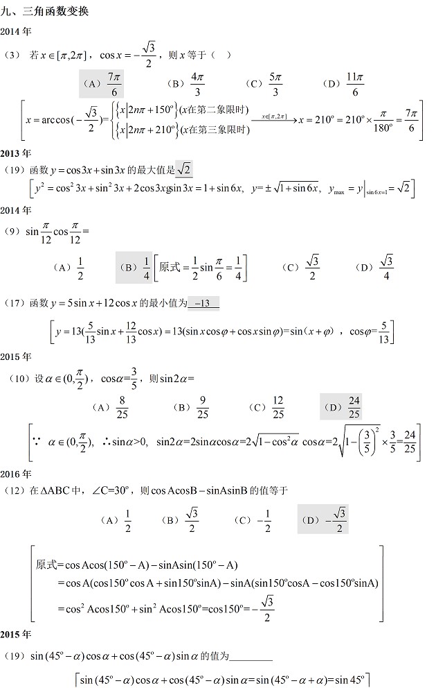
历年成人高考数学试题真题试卷题型及答案.docx
立即下载Word高清文档,方便收藏和打印(2848字)
编辑推荐:
下载Word文档
成考热点文章排行榜
  • 2025年四川眉山高考网上报名时间及办法 报名入口
  • 宁夏2024年成人高校招生考试录取结果查询的通告
  • 2024年江苏省成人高考报名通告 考试时间为10月
  • 2025年安徽芜湖成人高考报名时间及网站:http
  • 2024年安徽成人高考成绩查询时间公布 11月中下
  • 2024年浙江杭州成人高考考试时间及科目:10月1
  • 2024年浙江成人高考考试时间及科目:10月19日
  • 2022年北京成人高考专升本政治真题及答案