【#中考# #2018年广东湛江中考分数线(已公布)#】©无忧考网中考频道从湛江教育局了解到,2018年广东湛江中考分数线已公布,具体如下:
我市公布2018年高中阶段学校录取控制分数线
第一批普通高中最低录取控制分数线为400分,第二批为350分
第一、二批学校录取时间为7月12-18日
2018年湛江市高中阶段学校录取控制分数线已划定并在湛江市教育局官方网站(http://www.zhjedu.cn/)上公布,广大家长和学生也可关注微信公众号“湛江市教育局”(微信号:gdzhjedu)查看全市各普通学校录取控制分数线的详细情况。
其中,第一批普通高中学校最低录取控制分数线为400分;公办示范性和省一级普通高中学校指标生最低录取控制分数线为400分;第二批普通高中学校最低录取控制分数线为350分。
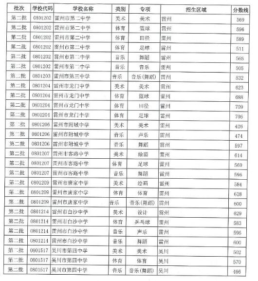
第一批普通高中特长生最低录取控制分数线为360分,术科65分;第二批为315分,术科为50分。特长生录取分数线按考生中考成绩、术科成绩合成的总分(总分=中考成绩×30%+术科成绩×9.3×70%)从高到低、依照志愿顺序进行划定;国家一级、二级运动员竞技型特长生凭有关证明材料免试录取。
志愿湛江幼儿师范专科学校五年一贯制公费定向并经面试合格的考生,中考录取分数线为668分;其他中等职业技术学校、技工学校录取最低控制分数线由各学校根据本校生源情况自行确定。









