首页
>
三支一扶
>
最新信息
>
山东三支一扶
>
莱芜三支一扶
>
2015年山东莱芜三支一扶考试成绩(已公布)
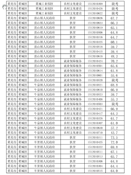
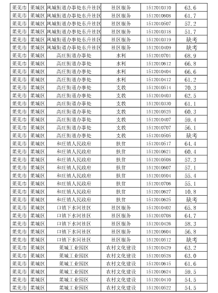
2015年山东莱芜三支一扶考试成绩(已公布)
时间:2015-07-13 11:39:00 来源:无忧考网 [字体:
小
中
大
]
©
无忧考
网三支一扶频道提醒各位考生:2015年山东莱芜三支一扶成绩现已公布!考生从
即日起
可登录山东莱芜三支一扶查分系统
【山东高校毕业生就业信息网】
查询本次考试成绩!
=三支一扶试题推荐=
2017年山东三支一扶考试真题及答案
2018年山东三支一扶考试真题及答案
2016年山东三支一扶考试真题及答案
2016年山东三支一扶考试公共基础知识真题及答案
查看三支一扶全部真题 >>
=三支一扶文档推荐=
2022年山东莱芜市三支一扶报名入口(已开通)
2018年山东莱芜市三支一扶计划招募体检时间8月10日
查看三支一扶全部文档 >>
2015年山东莱芜三支一扶考试成绩(已公.docx
立即下载Word高清文档,方便收藏和打印(332字)
编辑推荐:
下载Word文档
三支一扶山东热点文章排行榜
2024年山东省高校毕业生“三支一扶”计划招募公告
2024年山东三支一扶考试时间:5月18日
2024年山东三支一扶准考证打印时间:5月14日-
2024年山东三支一扶报名确认时间:4月16日-2
2024年山东三支一扶报名时间:4月16日-20日
2024年山东三支一扶报名入口(4月16日-20日
2024年山东三支一扶招募条件
2024年山东三支一扶资格初审时间:4月16日-2