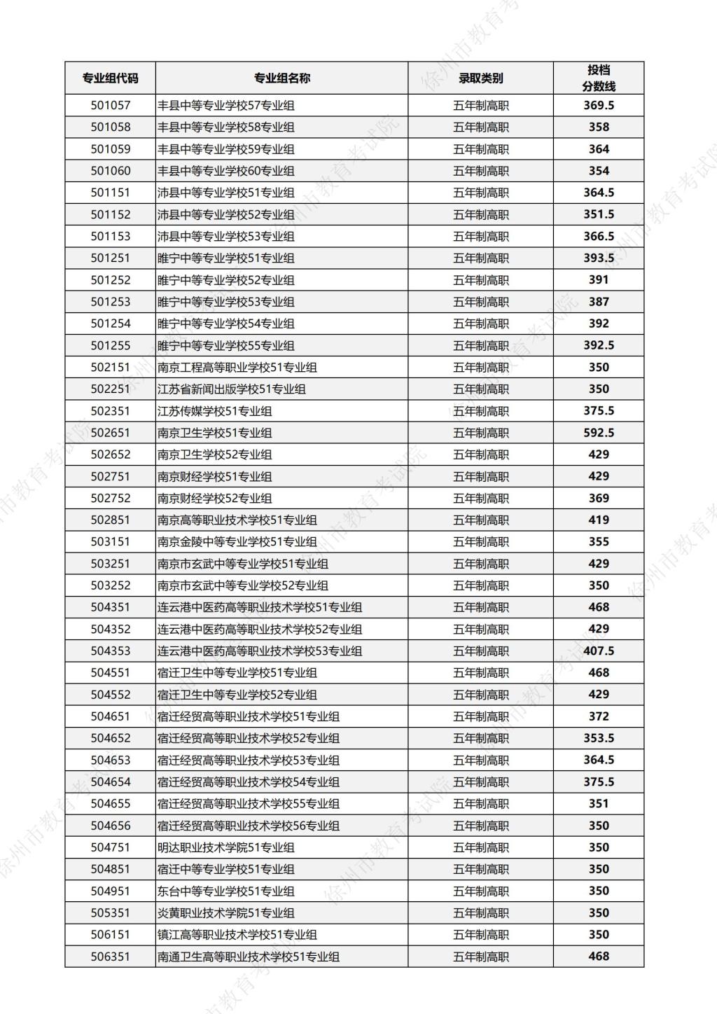
【#中考# #江苏徐州2024年第三批次第1小批五年制高职及技工院校技师专业投档分数线#】©无忧考网从徐州市教育考试院了解到,江苏徐州2024年第三批次第1小批五年制高职及技工院校技师专业投档分数线已公布,具体如下: