【文档名称】 2022年人教版八年级数学下册第16章单元检测试题及答案(Word版).doc
【文档格式】 Word版
【文档下载】 点击下载WORD文档
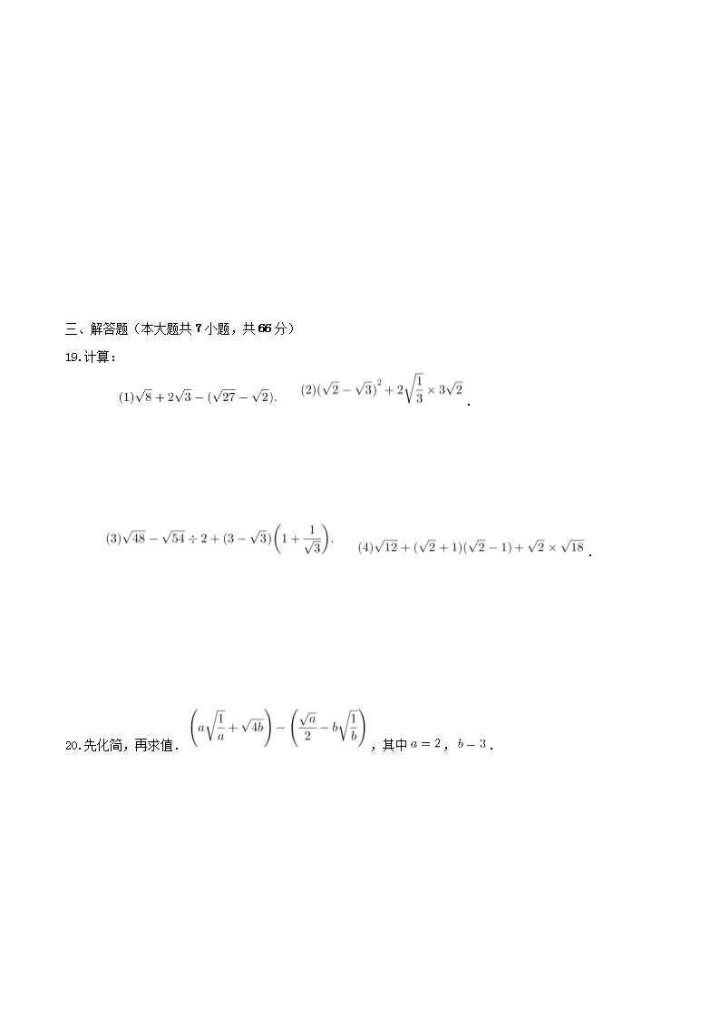
【文档预览】 无忧考网整理发布2022年人教版八年级数学下册第16章单元检测试题及答案(Word版),前五页预览如下:





- 2024-2025学年四川省泸州市合江县八年级下学期期中英语试题及答案
- 2024-2025学年陕西省延安市富县八年级下学期期中英语试题及答案
- 2024-2025学年山东省青岛市崂山区八年级下学期期中英语试题及答案
- 2024-2025学年湖北省十堰市丹江口市八年级下学期期中英语试题及答案
- 2024-2025学年河南省信阳市潢川县八年级下学期期中英语试题及答案
- 2024-2025学年山东省济宁市泗水县八年级下学期期中英语试题及答案
- 2024-2025学年内蒙古鄂尔多斯市康巴什区八年级下学期期中英语试题及答案
- 2024-2025学年湖南省邵阳市武冈市八年级下学期期中英语试题及答案
- 查看初中二年级全部真题>>