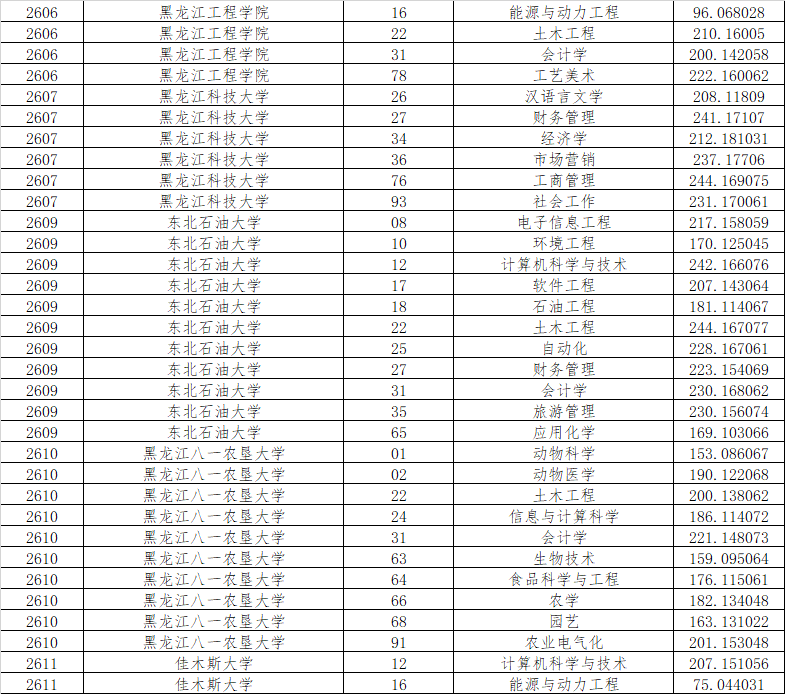
【#专升本考试# #2024年黑龙江普通高校专升本招生录取投档分数线公布#】®无忧考网从黑龙江省招生考试信息港了解到,2024年黑龙江普通高校专升本招生录取投档分数线已公布,具体如下:

2024年黑龙江省普通高校专升本招生录取投档分数线已发布,请下载附件查看。





【#专升本考试# #2024年黑龙江普通高校专升本招生录取投档分数线公布#】®无忧考网从黑龙江省招生考试信息港了解到,2024年黑龙江普通高校专升本招生录取投档分数线已公布,具体如下:

2024年黑龙江省普通高校专升本招生录取投档分数线已发布,请下载附件查看。




