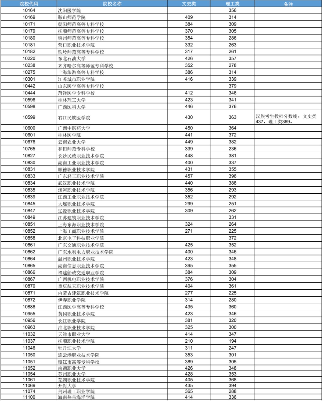
【#高考# #2023年广西高考普通高校招生高职高专普通批最低投档分数线#】©无忧考网高考频道从柳园清风了解到,2023年广西高考普通高校招生高职高专普通批最低投档分数线已公布,具体如下:

说明:
1.23397石家庄邮电职业技术学院(邮政班)需进行面试,按学校提供的合格名单进行投档。
2.10599右江民族医学院对少数民族考生投档比例有要求,按少数民族考生数不低于65%的比例投档。
3.表中空白处表示无相应科类招生计划或无符合条件的出档考生。












【#高考# #2023年广西高考普通高校招生高职高专普通批最低投档分数线#】©无忧考网高考频道从柳园清风了解到,2023年广西高考普通高校招生高职高专普通批最低投档分数线已公布,具体如下:

说明:
1.23397石家庄邮电职业技术学院(邮政班)需进行面试,按学校提供的合格名单进行投档。
2.10599右江民族医学院对少数民族考生投档比例有要求,按少数民族考生数不低于65%的比例投档。
3.表中空白处表示无相应科类招生计划或无符合条件的出档考生。











