首页
>
高考
>
最新信息
>
黑龙江高考
>
黑龙江2023年普通高职(专科)批录取院校平行志愿投档分数线
黑龙江2023年普通高职(专科)批录取院校平行志愿投档分数线
时间:2023-08-09 11:43:00 来源:黑龙江省招生考试信息港 [字体:
小
中
大
]
【#
高考
# #
黑龙江2023年普通高职(专科)批录取院校平行志愿投档分数线
#】
®
无
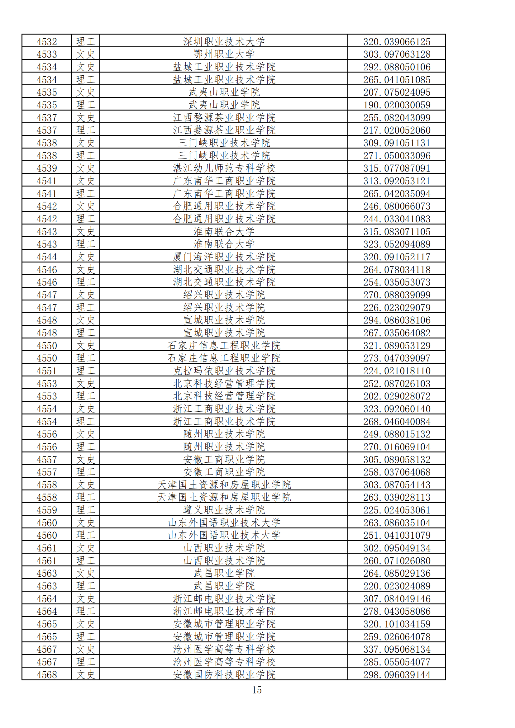
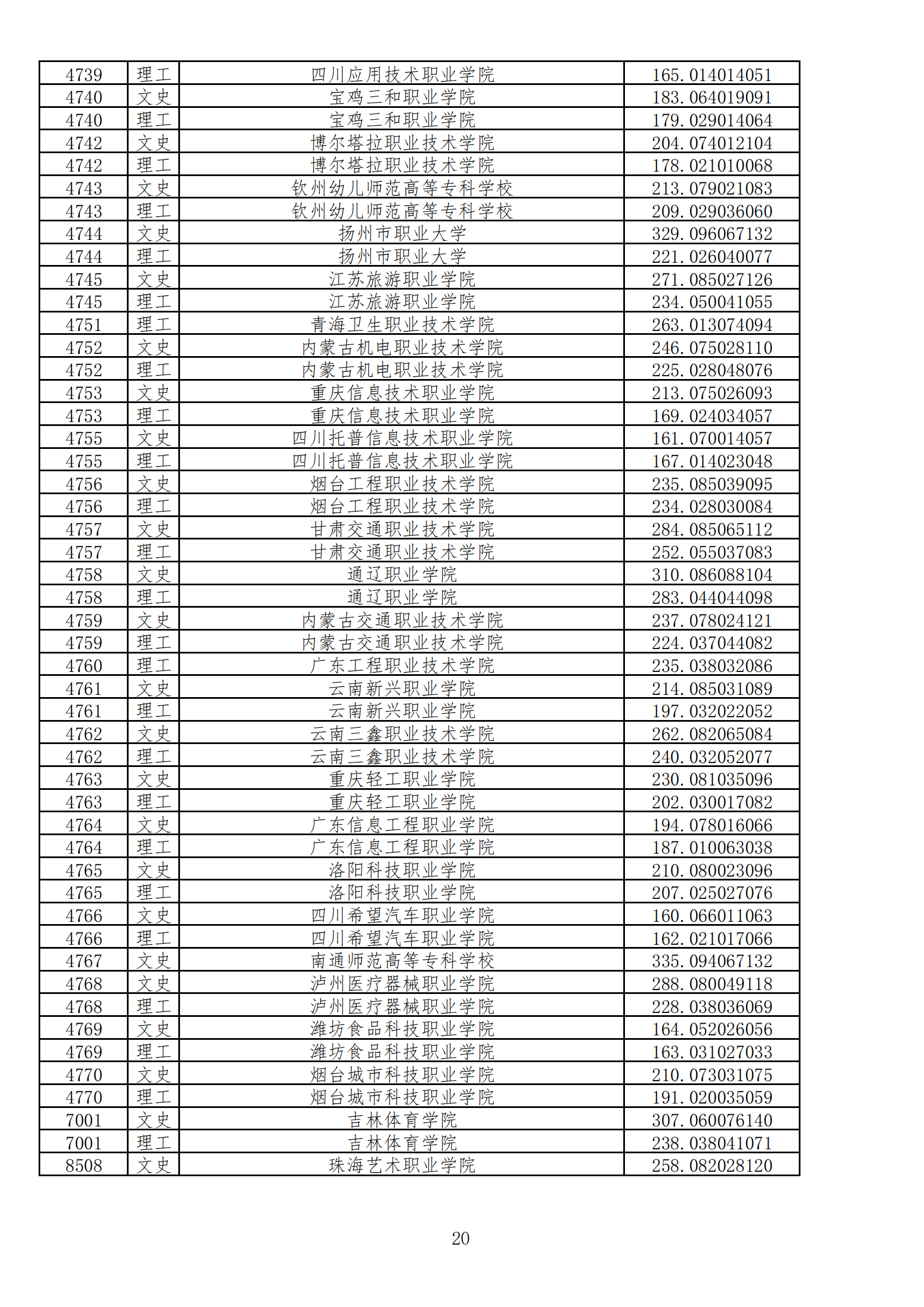
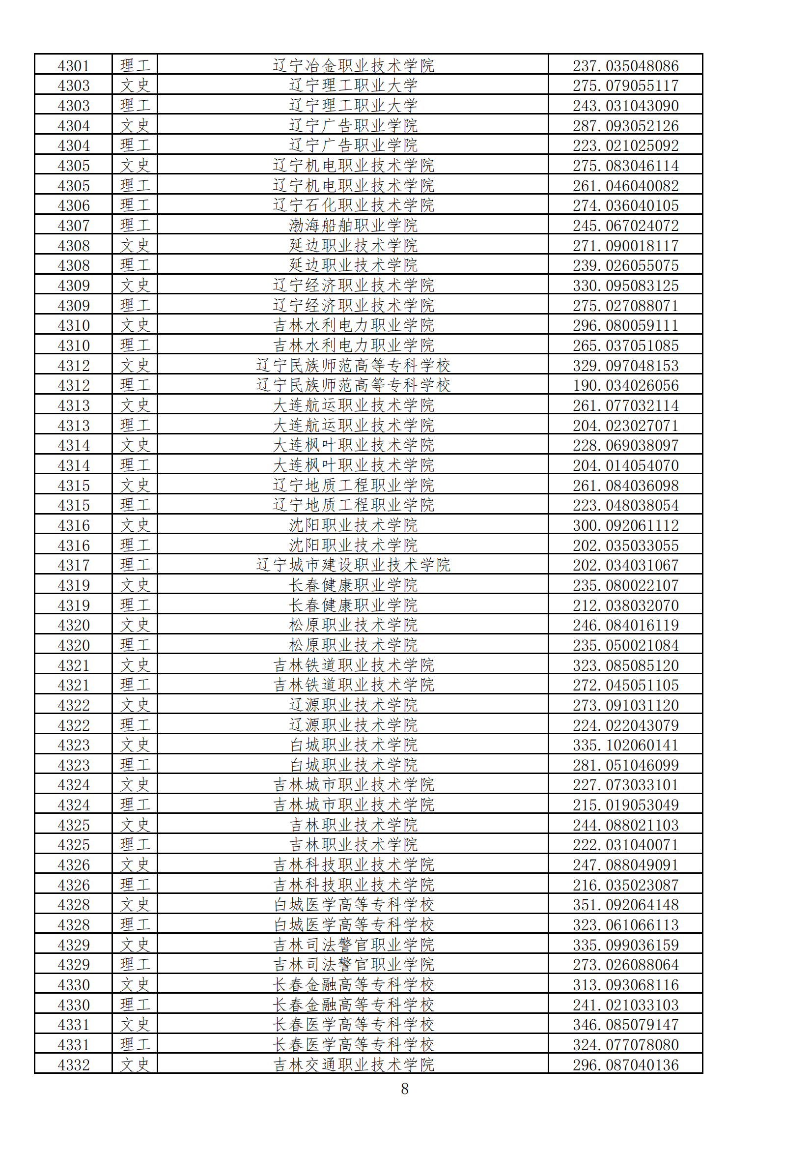
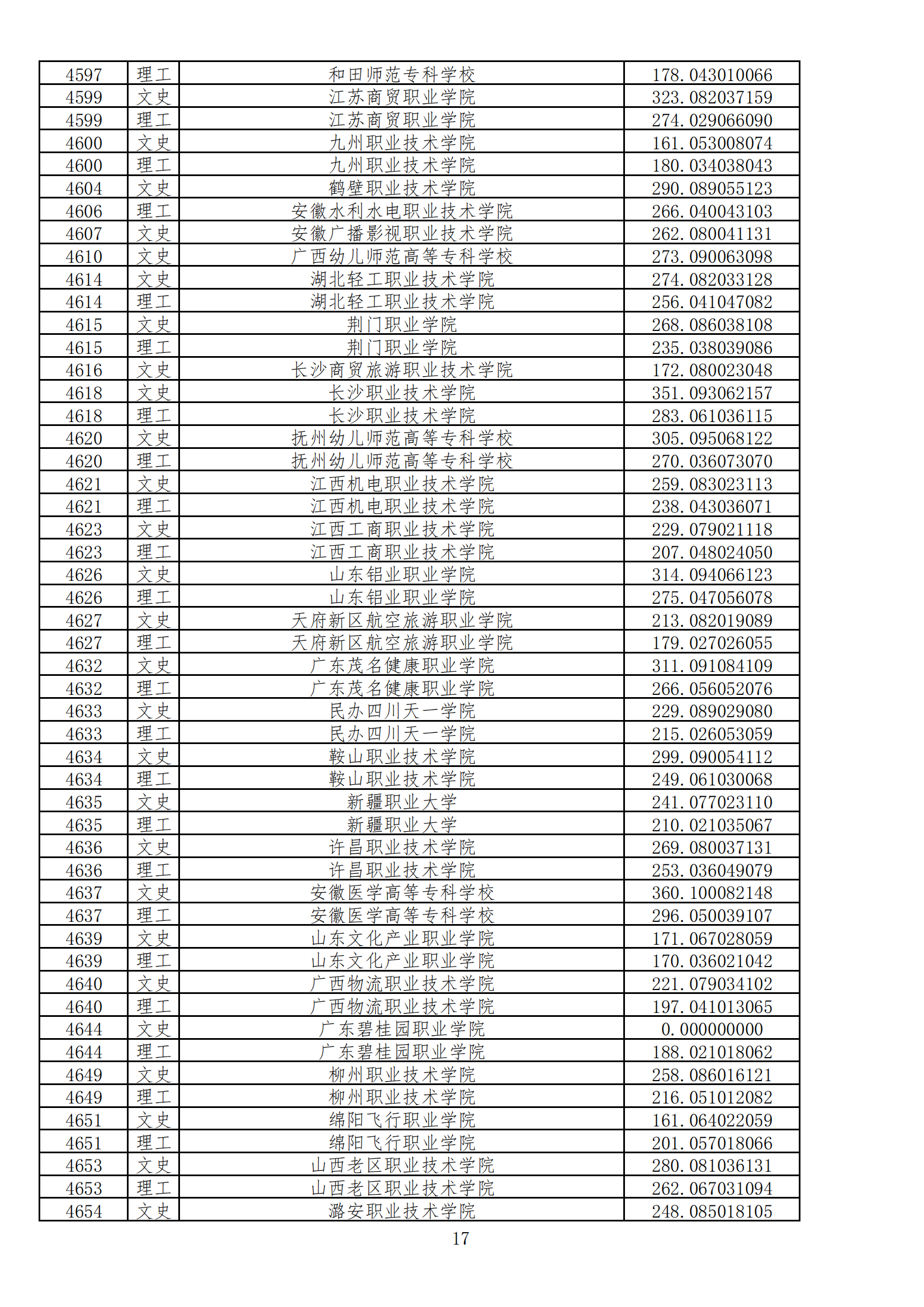
忧考网从黑龙江省招生考试信息港了解到,黑龙江2023年普通高职(专科)批录取院校平行志愿投档分数线 已公布,详细内容如下:
=高考试题推荐=
2025年黑龙江高考语文试题及答案
2025年黑龙江普通高中学业水平选择性考试生物真题及答案
2025年黑龙江普通高中学业水平选择性考试政治真题及答案
2025年黑龙江普通高中学业水平选择性考试历史真题及答案
2025年黑龙江普通高中学业水平选择性考试化学真题及答案
2025年黑龙江普通高中学业水平选择性考试地理真题及答案
查看高考全部真题 >>
=高考文档推荐=
黑龙江省2026年普通高等学校招生体育类术科全省统一考试项目考试规则
黑龙江省2026年普通高等学校招生戏曲类专业省际联考相关事宜的通知
黑龙江省2026年普通高校招生艺术类专业考试时间地点
2026年黑龙江高考报名时间及入口:2025年10月中下旬
2025年黑龙江高考普通类高职(专科)批最后一次征集志愿投档分数线公布
2025年黑龙江高考普通类高职(专科)提前批B段网上征集志愿预通知
查看高考全部文档 >>
黑龙江2023年普通高职(专科)批录取院.docx
立即下载Word高清文档,方便收藏和打印(1683字)
编辑推荐:
下载Word文档
高考黑龙江热点文章排行榜
2025年黑龙江高考考点考场查询入口网址:http
2025年黑龙江高考成绩查询网站、查分入口:黑龙江
2025年黑龙江高考准考证打印网站入口:https
2025年黑龙江高考准考证打印时间及入口:5月31
2025年黑龙江高考数学试题及答案
黑龙江2025年职教高考报名的温馨提示 考试时间为
2025年黑龙江高考语文试题及答案
黑龙江哈尔滨高考时间2025年具体时间及科目安排表