首页 > 中考 > 最新信息 > 广西中考 > 桂林中考 > 广西桂林2023年中考桂林市区普通高中录取资格一等一档表(五

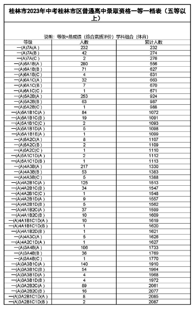
广西桂林2023年中考桂林市区普通高中录取资格一等一档表(五等以上)

时间:2023-07-10 11:05:00   来源:广西桂林市教育局     [字体:小 中 大]

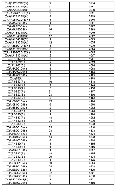
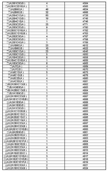
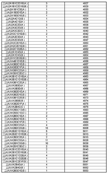
【#中考# #广西桂林2023年中考桂林市区普通高中录取资格一等一档表(五等以上)#】©无忧考网从广西桂林市教育局了解到,广西桂林2023年中考桂林市区普通高中录取资格一等一档表(五等以上)已公布,详细内容如下:


image.png


image.png


image.png


image.png


image.png


image.png


image.png


image.png


  点击进入:(查看完整版)

广西桂林2023年中考桂林市区普通高中录取资格一等一档表(五等以上)
=中考试题推荐=
  • 2025年广西桂林中考道德与法治试题及答案
  • 2025年广西桂林中考语文试题及答案
  • 2025年广西桂林中考英语试题及答案
  • 2025年广西桂林中考物理试题及答案
  • 2025年广西桂林中考数学试题及答案
  • 2025年广西桂林中考生物试题及答案
  • 查看中考全部真题 >>
=中考文档推荐=
  • 2025年广西桂林中考道德与法治试题及答案
  • 2025年广西桂林中考语文试题及答案
  • 2025年广西桂林中考英语试题及答案
  • 2025年广西桂林中考物理试题及答案
  • 2025年广西桂林中考数学试题及答案
  • 2025年广西桂林中考生物试题及答案
  • 查看中考全部文档 >>
广西桂林2023年中考桂林市区普通高中录.docx
立即下载Word高清文档,方便收藏和打印(747字)
编辑推荐:
下载Word文档
中考广西热点文章排行榜
  • 广西中考时间2025年具体时间:6月24日-27日
  • 2025年广西中考时间及各科目总分满分公布(6月2
  • 广西南宁中考时间2025年具体时间:6月24日-2
  • 2025年广西钦州中考成绩查询入口查分网站:htt
  • 2025年广西桂林中考成绩查询入口查分网站:htt
  • 2025年广西南宁中考时间及各科目总分满分公布(6
  • 2025年广西玉林中考时间安排表公布
  • 广西桂林中考时间2025年具体时间:6月24日-2