【#高考# #近三年河南高考招生录取分数线及分数段统计表公布#】®无忧考网高考频道从安阳市教育局了解到,近三年河南高考招生录取分数线及分数段统计表已公布,具体如下:

2023全国高考已结束,接下来就是最重要的志愿填报环节
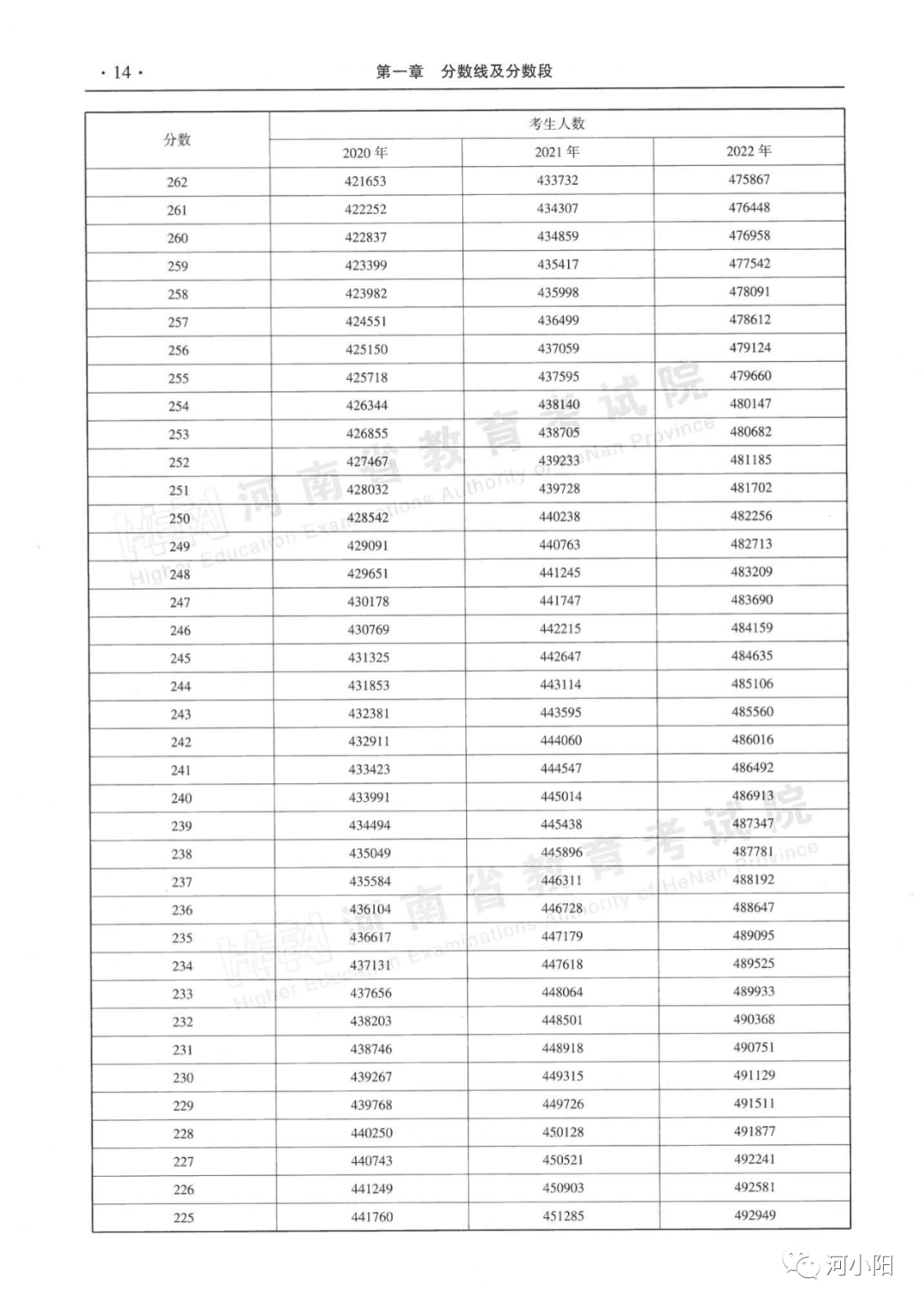
小编为大家整理了河南近三年普通高招录取分数线及分数段统计表(含理、文科),一起来看
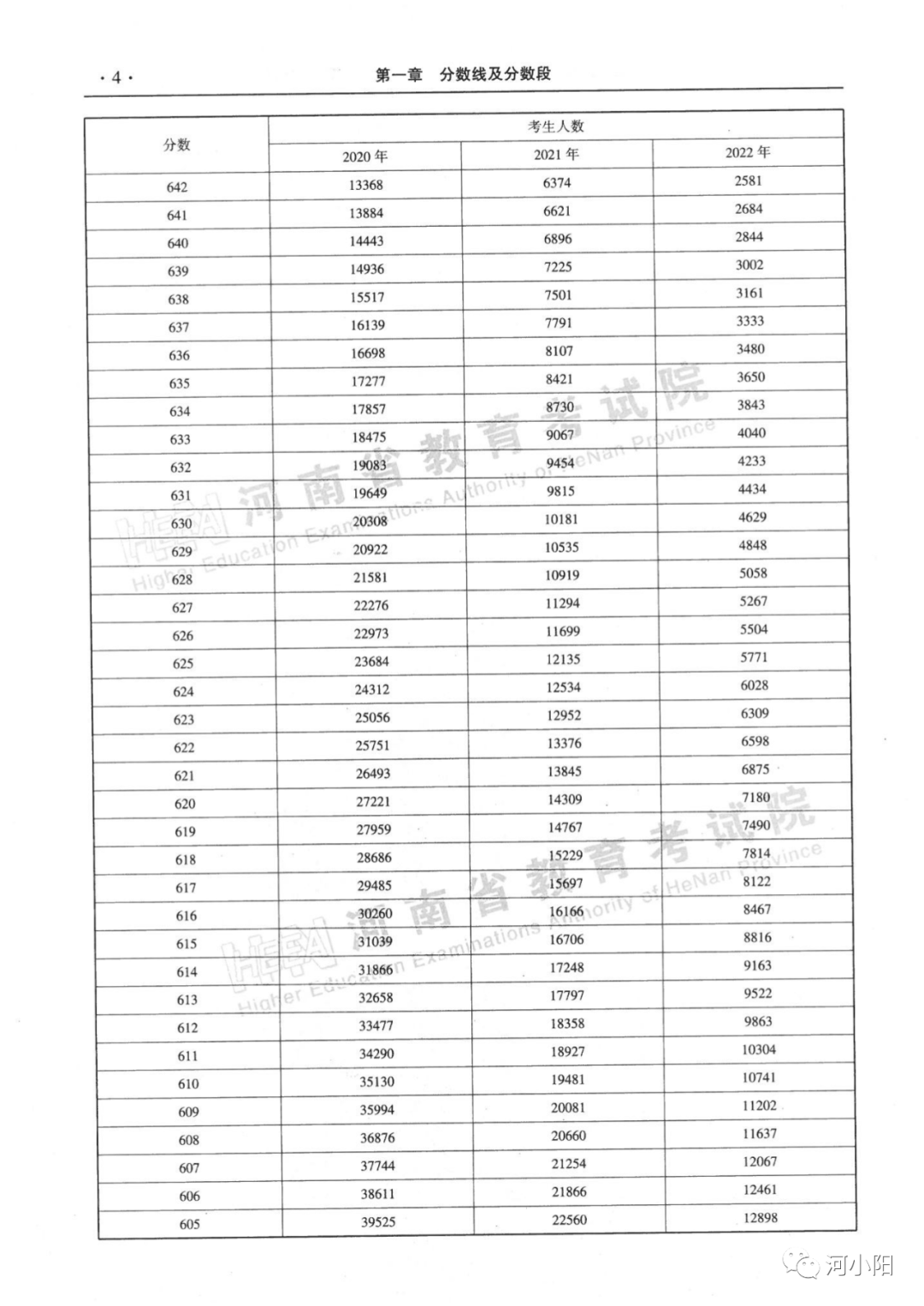
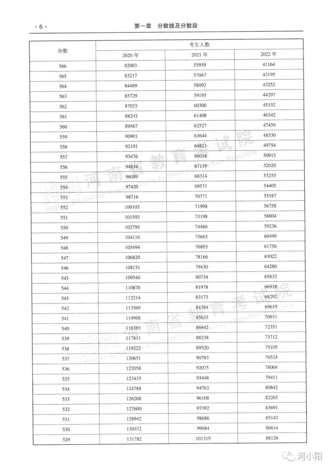
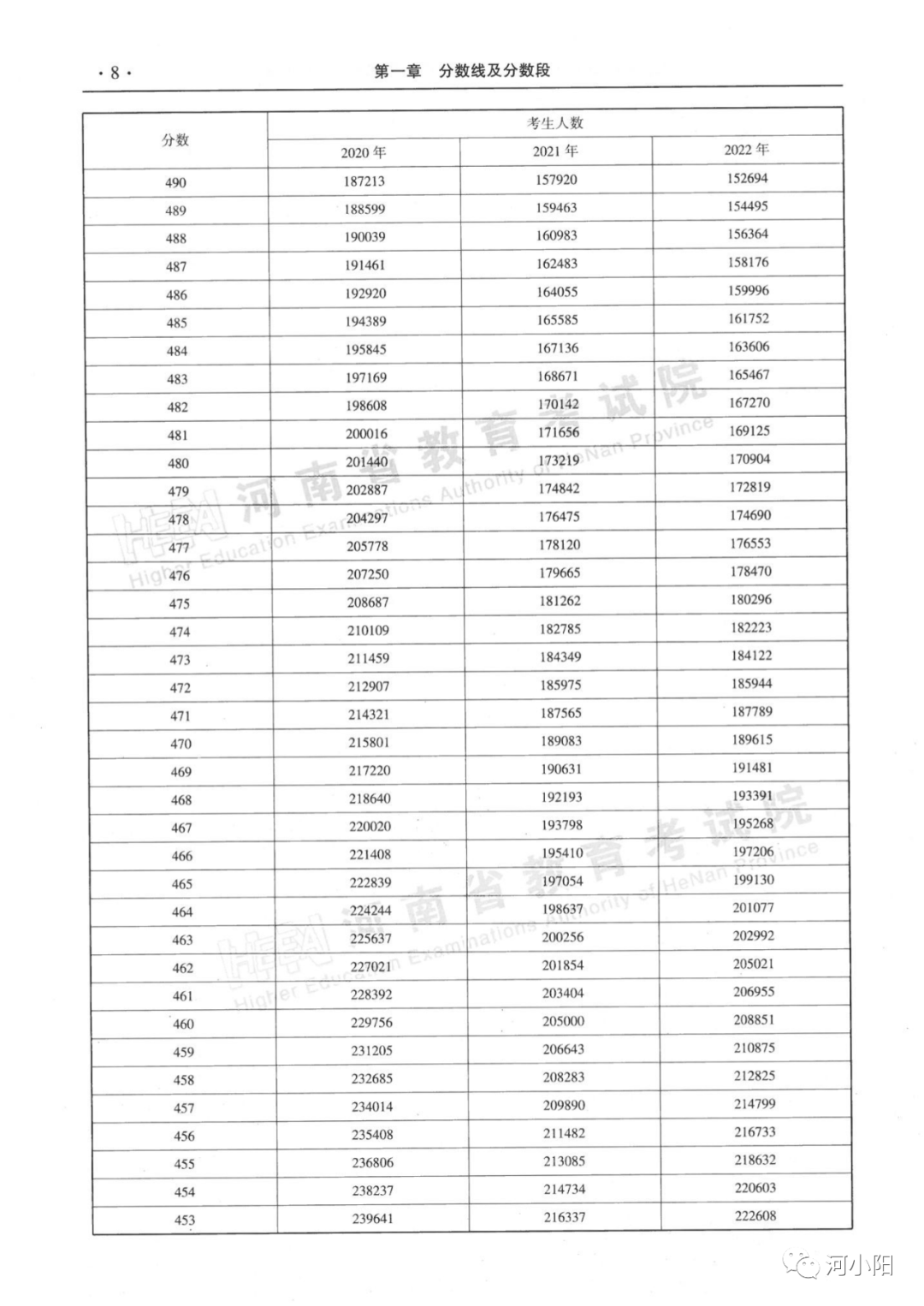
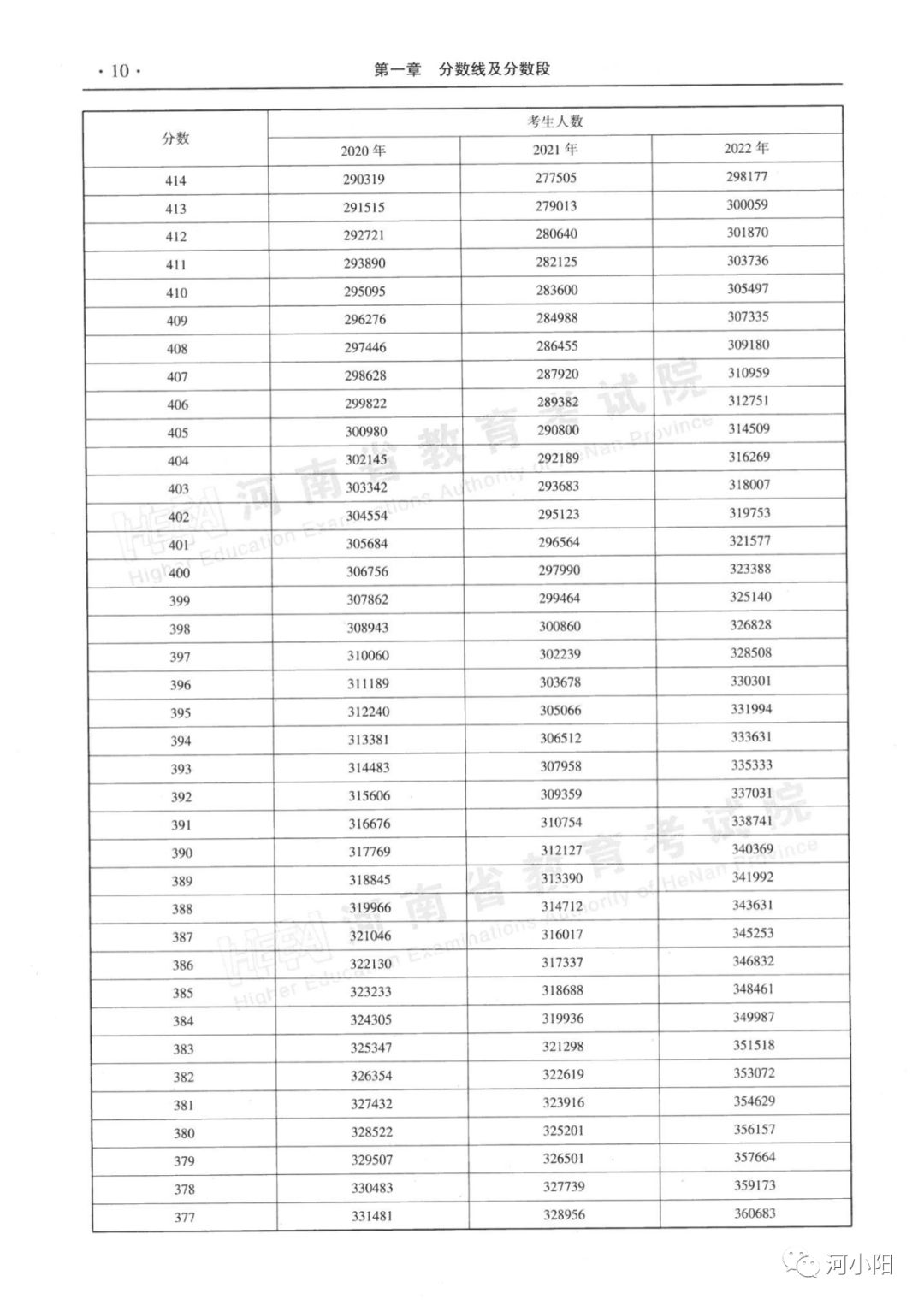
2020--2022河南高招录取分数线及分数段

理 科
























考生请认准!2023年河南省具有普通高等学历教育招生资格学校名单
为深入实施高校招生“阳光工程”,加大信息公开力度,发挥社会监督作用,增强政府信息服务功能,维护普通高等学历教育的办学秩序,现公布2023年河南省具有普通本专科招生资格和五年一贯制高职、“3+2”分段制高职招生资格名单。除本次公布的学校外,省内其他任何机构2023年均不具备普通本专科招生资格和五年一贯制、“3+2”分段制高职招生资格,其所招收学生无法在教育部注册学籍、学历,无法发放国家承认的普通高等教育学历证书。请今年参加招生录取的考生,在报考志愿前注意查询本名单和教育部、省教育厅、省教育考试院等部门网站信息,切勿相信名单外机构的虚假宣传。
本名单分为两个部分,第一部分是河南省举办的属于国民学历教育序列且安排2023年招生计划的高校,包括本科层次院校和专科层次院校,不含在河南招生的省外高校、军队院校以及驻豫中央部门所属高校。第二部分是经批准2023年具有招收应届初中毕业生开展五年一贯制和“3+2”分段制高职资格的学校,包括具有五年一贯制招生资格的普通高校、具有联合开展“3+2”分段制高职招生的中高职学校。