首页 > 考研 > 真题题库 > 辽宁考研 > 2023年辽宁考研数学二试题及答案

2023年辽宁考研数学二试题及答案(Word版)

时间:2023-01-11 17:29:00   来源:无忧考网     [字体:小 中 大]

【文档名称】 2023年辽宁考研数学二试题及答案(Word版).doc

【文档格式】 Word版

【文档下载】 点击下载WORD文档

【文档预览】 无忧考网整理发布2023年辽宁考研数学二试题及答案(Word版),前五页预览如下:


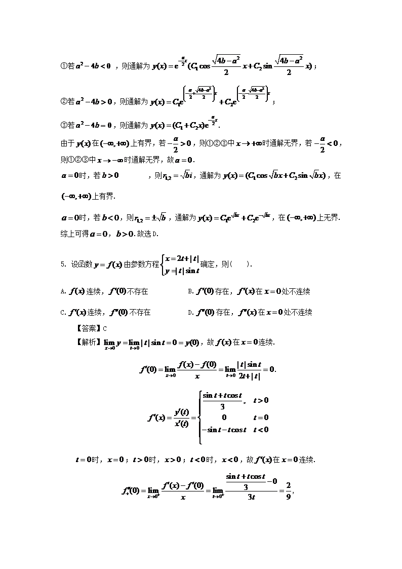
2023年辽宁考研数学二试题及答案.doc
立即下载Word高清文档,方便收藏和打印
编辑推荐:
下载Word文档
=考研试题推荐=
  • 2024年辽宁省沈阳工业大学中国化马克思主义的基本原理考研真题
  • 2024年辽宁省沈阳工业大学马克思主义基本原理考研真题
  • 2024年辽宁省沈阳工业大学管理学考研真题
  • 2024年辽宁省沈阳工业大学管理学考研考试真题
  • 2024年辽宁省沈阳工业大学法学综合一考研真题
  • 2024年辽宁省沈阳工业大学法学综合二考研真题
  • 2023年辽宁沈阳工业大学法学综合一考研真题
  • 2023年辽宁沈阳工业大学法学综合二考研真题
  • 查看考研全部真题>>
考研辽宁热点文章排行榜
  • 辽宁2025年考研成绩什么时候出来 预计2月24日
  • 辽宁考研时间2025年考试时间及科目:2024年1
  • 2025年辽宁研究生考试成绩查询入口(已开通)
  • 2025年辽宁考研成绩查询时间公布 2月24日起开
  • 辽宁工程技术大学2025年考研成绩查询入口2月24
  • 辽宁东北大学2025年硕士研究生招生考试复试分数线
  • 2024年辽宁省沈阳工业大学管理学考研考试真题
  • 辽宁2025年硕士研究生招生考试初试成绩查询的通知