首页 > 考研 > 真题题库 > 湖北考研 > 2023年湖北考研数学一试题及答案

2023年湖北考研数学一试题及答案(Word版)

时间:2023-01-10 16:30:00   来源:无忧考网     [字体:小 中 大]

【文档名称】 2023年湖北考研数学一试题及答案(Word版).doc

【文档格式】 Word版

【文档下载】 点击下载WORD文档

【文档预览】 无忧考网整理发布2023年湖北考研数学一试题及答案(Word版),前五页预览如下:


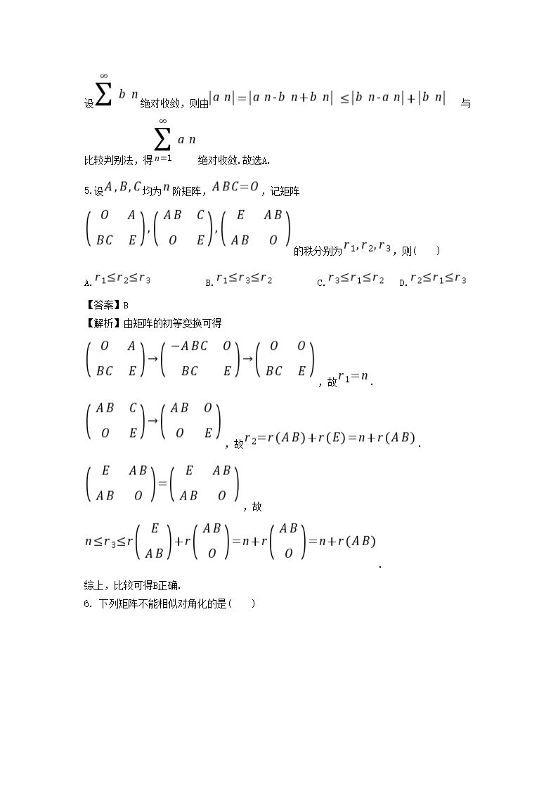
2023年湖北考研数学一试题及答案.doc
立即下载Word高清文档,方便收藏和打印
编辑推荐:
下载Word文档
=考研试题推荐=
  • 2011年湖北华中农业大学植物学及植物育种学考研真题
  • 2006年湖北工业大学管理学考研真题
  • 2023年湖北武汉工程大学专业设计B及艺术管理理论考研真题
  • 2023年湖北武汉工程大学体育管理学考研真题
  • 2023年湖北武汉工程大学数字图像处理考研真题
  • 2023年湖北武汉工程大学工程项目管理考研真题
  • 2023年湖北武汉工程大学工程地质学考研真题
  • 2023年湖北武汉工程大学粉体工程考研真题
  • 查看考研全部真题>>
考研湖北热点文章排行榜
  • 湖北2025年考研成绩公布时间 预计2月24日后公
  • 湖北考研时间2025年考试时间及科目:2024年1
  • 湖北武汉大学2025年硕士研究生招生考试复试分数线
  • 2025年湖北研究生考试成绩查询入口(已开通)
  • 湖北华中科技大学2025年硕士研究生招生考试复试分
  • 湖北2025年考研网上报名时间公布 预报名入口10
  • 2025年湖北考研成绩查询时间入口2月24日起开通
  • 2025年少数民族高层次骨干人才研究生湖北籍生源报