首页 > 考研 > 真题题库 > 湖南考研 > 2023年湖南考研数学二试题及答案

2023年湖南考研数学二试题及答案(Word版)

时间:2023-01-10 13:58:00   来源:无忧考网     [字体:小 中 大]

【文档名称】 2023年湖南考研数学二试题及答案(Word版).doc

【文档格式】 Word版

【文档下载】 点击下载WORD文档

【文档预览】 无忧考网整理发布2023年湖南考研数学二试题及答案(Word版),前五页预览如下:


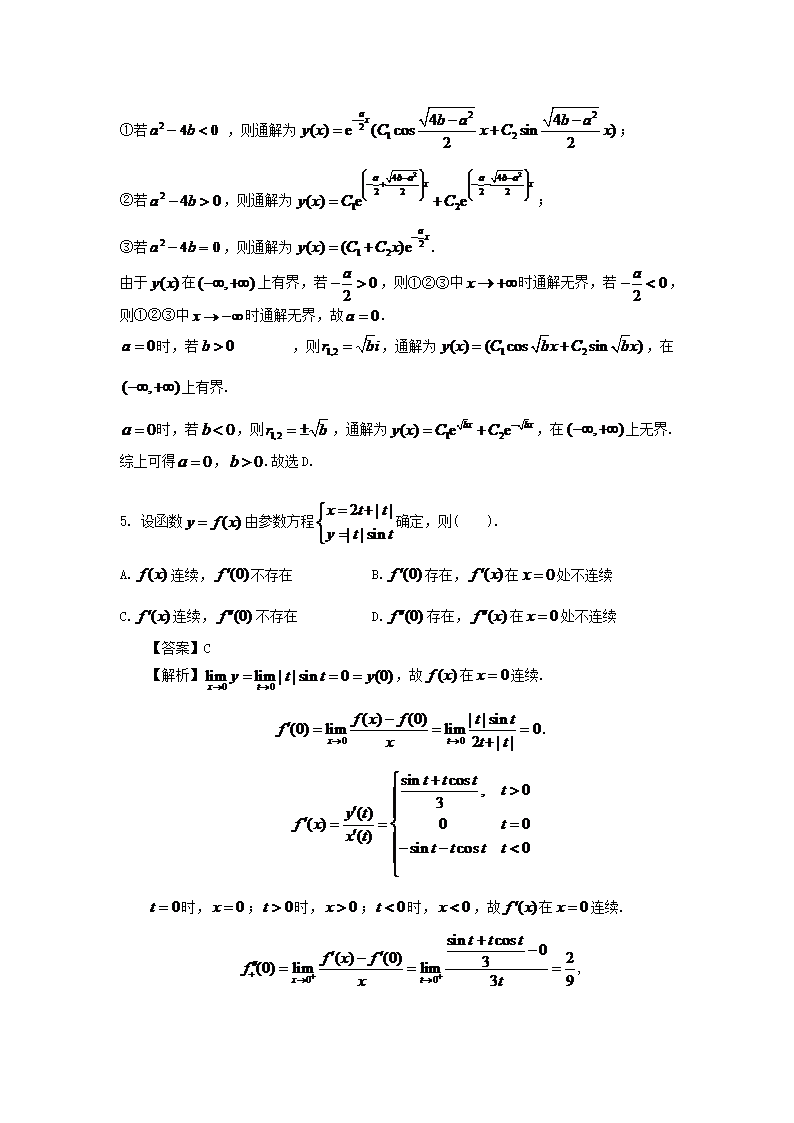
2023年湖南考研数学二试题及答案.doc
立即下载Word高清文档,方便收藏和打印
编辑推荐:
下载Word文档
=考研试题推荐=
  • 2020年湖南中南大学新闻与传播专业综合能力考研真题
  • 2020年湖南中南大学新闻与传播专业基础考研真题
  • 2009年湖南中南大学细胞生物学考研真题(B卷)
  • 2009年湖南中南大学生物综合考研真题
  • 2008年湖南中南大学细胞生物学考研真题(A卷)
  • 2009年湖南中南大学细胞生物学考研真题
  • 2009年湖南中南大学传播学考研真题
  • 2008年湖南中南大学数学分析考研真题
  • 查看考研全部真题>>
考研湖南热点文章排行榜
  • 湖南2025年考研成绩什么时候出来 预计2月24日
  • 湖南考研时间2025年考试时间及科目:2024年1
  • 2025年湖南研究生考试成绩查询入口(已开通)
  • 湖南2025年考研网上调剂服务系统(4月8日开通)
  • 2025年湖南考研成绩查询时间入口2月24日起开通
  • 湖南2025年考研网上报名时间公布 预报名入口10
  • 湖南2025年考研调剂意向采集服务系统(3月28日
  • 2025年湖南硕士研究生招生考试网上报考公告