首页 > 考研 > 真题题库 > 广西考研 > 2023年广西考研数学二试题及答案

2023年广西考研数学二试题及答案(Word版)

时间:2023-01-06 16:15:00   来源:无忧考网     [字体:小 中 大]

【文档名称】 2023年广西考研数学二试题及答案(Word版).doc

【文档格式】 Word版

【文档下载】 点击下载WORD文档

【文档预览】 无忧考网整理发布2023年广西考研数学二试题及答案(Word版),前五页预览如下:


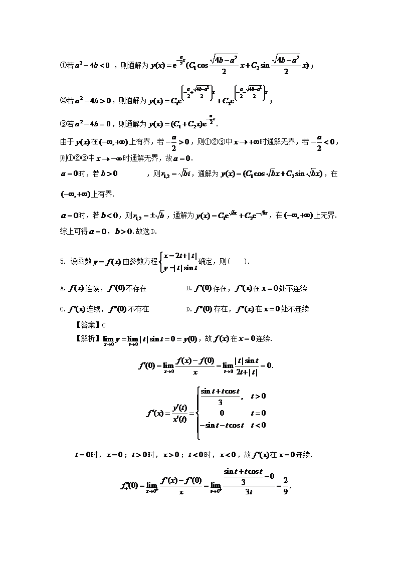
2023年广西考研数学二试题及答案.doc
立即下载Word高清文档,方便收藏和打印
编辑推荐:
下载Word文档
=考研试题推荐=
  • 2014年广西桂林电子科技大学自动控制原理考研真题
  • 2014广西桂林电子科技大学微机原理及应用考研真题(A卷)
  • 2013年广西桂林电子科技大学微机原理及应用考研真题(A卷)
  • 2014广西桂林电子科技大学微机原理及应用考研真题
  • 2013年广西桂林电子科技大学微机原理及应用考研真题
  • 2013年广西桂林电子科技大学马克思主义基本原理考研真题(A卷)
  • 2013年广西桂林电子科技大学马克思主义基本原理考研真题
  • 2013年广西桂林电子科技大学材料科学基础考研真题(A卷)
  • 查看考研全部真题>>
考研广西热点文章排行榜
  • 广西考研时间2025年考试时间及科目:2024年1
  • 广西2025年考研成绩公布时间 预计2月24日后公
  • 广西大学2025年考研成绩查询时间公布 2月24日
  • 广西2025年硕士研究生招生考试(初试)考场规则公
  • 广西招生考试院:2025年广西考研成绩查询入口2月
  • 广西2025年考研网上报名时间公布 预报名入口10
  • 2025年广西研究生考试成绩查询入口(已开通)
  • 广西师范大学2025年考研成绩查询入口2月24日起