首页 > 考研 > 真题题库 > 上海考研 > 2020上海考研数学二真题及答案

2020上海考研数学二真题及答案(Word版)

时间:2022-05-20 15:39:00   来源:无忧考网     [字体:小 中 大]

【文档名称】 2020上海考研数学二真题及答案(Word版).doc

【文档格式】 Word版

【文档下载】 点击下载WORD文档

【文档预览】 无忧考网整理发布2020上海考研数学二真题及答案(Word版),前五页预览如下:


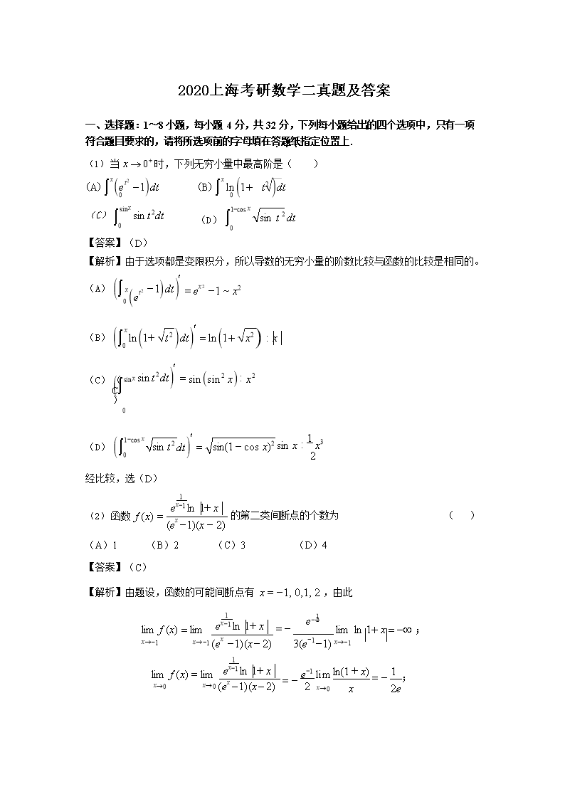
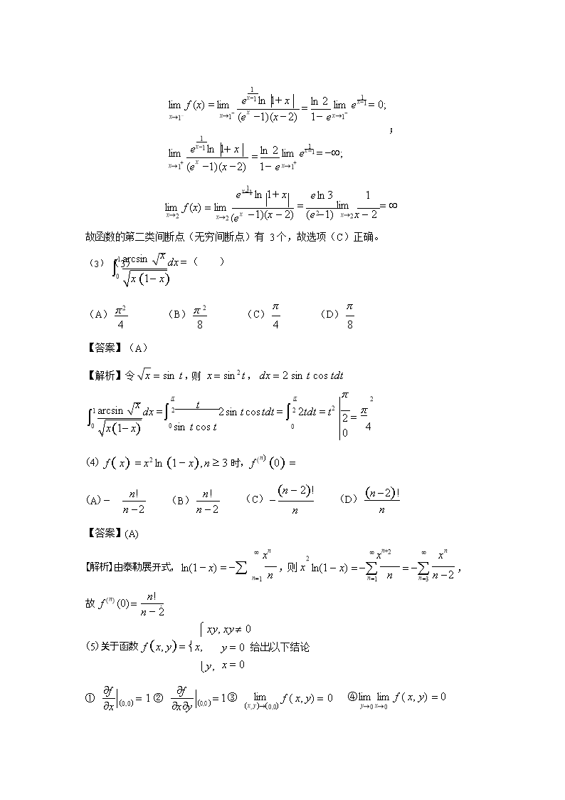
2020上海考研数学二真题及答案.doc
立即下载Word高清文档,方便收藏和打印
编辑推荐:
下载Word文档
=考研试题推荐=
  • 2019年上海科技大学数据结构与算法考研真题
  • 2021年上海科技大学细胞生物学考研真题
  • 2021年上海科技大学生物化学与分子生物学考研真题
  • 2020年上海科技大学细胞生物学考研真题
  • 2020年上海科技大学生物化学与分子生物学考研真题
  • 2023年上海考研政治真题及答案
  • 2023年上海考研英语一真题及答案
  • 2023年上海考研英语二真题及答案
  • 查看考研全部真题>>
考研上海热点文章排行榜
  • 上海考研时间2025年考试时间及科目:2024年1
  • 上海2025年考研成绩什么时候出来 预计2月24日
  • 2025年上海硕士研究生招生考试考前提醒公布 附考
  • 2025年上海研究生考试成绩查询入口(已开通)
  • 上海考研时间2026年具体时间及科目安排(2025
  • 上海2026年考研报名时间公布 预报名入口2025
  • 上海复旦大学2025年硕士研究生招生考试复试分数线
  • 上海交通大学2025年硕士研究生招生考试复试分数线