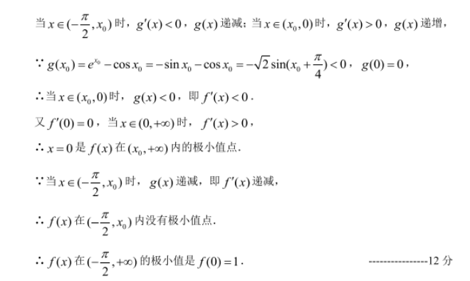
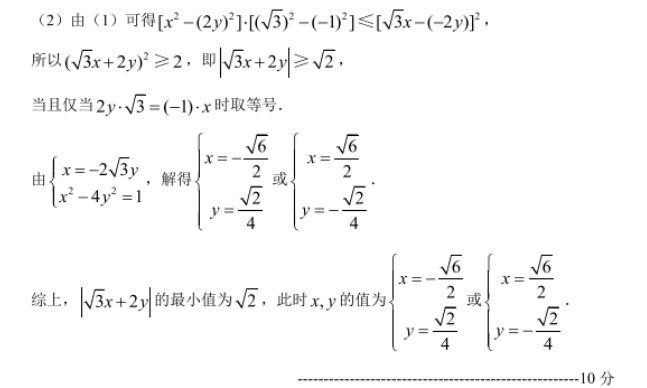
首页
>
高考
>
备考辅导
>
贵州高考
>
贵阳高考
>
贵州贵阳2022年高三适应性考试(二)文科数学参考答案及评分
贵州贵阳2022年高三适应性考试(二)文科数学参考答案及评分建议
时间:2022-05-09 14:25:00 来源:贵阳市教育局 [字体:
小
中
大
]
【#
高考
# #
贵州贵阳2022年高三适应性考试(二)文科数学参考答案及评分建议
#】
®
无
忧考网高考频道从贵阳市教育局了解到,贵州贵阳2022年高三适应性考试(二)文科数学参考答案及评分建议已发布,详情如下:
附件:文科数学答案.pdf
=高考试题推荐=
2025年贵州高考语文试题及答案
2025年贵州高考英语试题及答案
2025年贵州高考数学试题及答案
2024年贵州高考英语真题及答案
2024年贵州高考语文试题及答案
2024年贵州高考数学试题及答案
查看高考全部真题 >>
=高考文档推荐=
2025年贵州贵阳高考录取时间及录取结果查询入口(已开通)
2025年贵州贵阳高考志愿填报时间及入口:6月28日至7月2日
2025年贵州贵阳高考成绩查询时间及查分入口(预计6月25日公布)
2025年贵州贵阳高考时间、科目、总分和各科分值(6月7日-9日)
2025年贵州贵阳高考网上报名时间及流程公布 报名入口2024年11月1日开通
2024年贵州贵阳高考录取结果查询入口(已开通)
查看高考全部文档 >>
贵州贵阳2022年高三适应性考试(二)文.docx
立即下载Word高清文档,方便收藏和打印(859字)
编辑推荐:
下载Word文档
高考贵州热点文章排行榜
贵州2025年高考第一次英语听力考试1月8日举行
2025贵州高考成绩查询网站、查分入口:贵州省招生
2025年贵州高考成绩查询时间及查分入口(预计6月
2025年贵州高考考点考场查询入口网址:https
2025年贵州高考语文试题及答案
2025年贵州高考数学试题及答案
2025年贵州高考时间、科目、总分和各科分值(6月
2025年贵州高考英语试题及答案