首页 > 考研 > 真题题库 > 山东考研 > 2018山东考研数学三真题及答案

2018山东考研数学三真题及答案(Word版)

时间:2022-05-05 17:00:00   来源:无忧考网     [字体:小 中 大]

【文档名称】 2018山东考研数学三真题及答案(Word版).doc

【文档格式】 Word版

【文档下载】 点击下载WORD文档

【文档预览】 无忧考网整理发布2018山东考研数学三真题及答案(Word版),前五页预览如下:


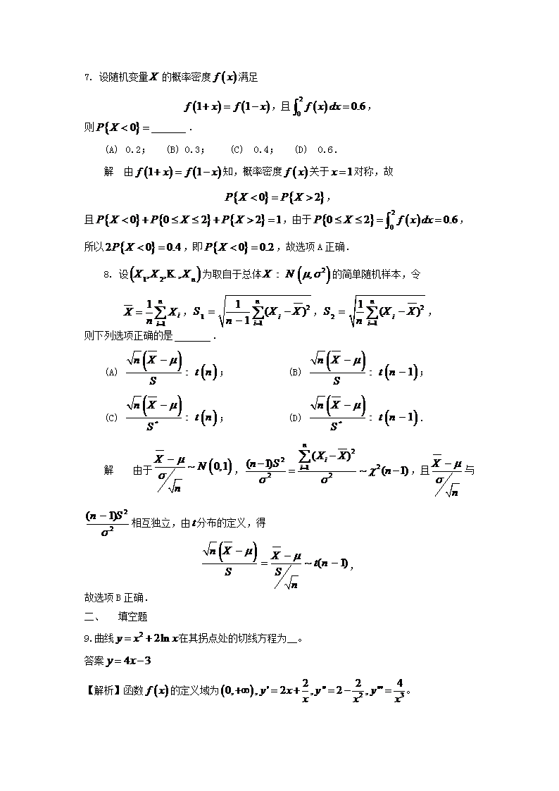
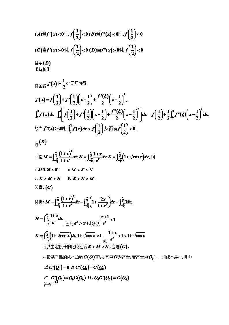
2018山东考研数学三真题及答案.doc
立即下载Word高清文档,方便收藏和打印
编辑推荐:
下载Word文档
=考研试题推荐=
  • 2020年山东省中国海洋大学语言学综合及教学设计考研真题
  • 2020年山东省中国海洋大学教育管理学考研真题
  • 2020年山东省中国海洋大学新闻与传播专业综合能力考研真题
  • 2020年山东省中国海洋大学普通动物学与普通生态学考研真题
  • 2019年山东大学专业英语考研真题
  • 2019年山东大学英语翻译基础考研真题
  • 2019年山东大学社会调查研究方法考研真题
  • 2019年山东省中国海洋大学马克思主义原理及政治学原理考研真题
  • 查看考研全部真题>>
考研山东热点文章排行榜
  • 山东2025年考研成绩什么时候出来 预计2月24日
  • 山东考研时间2025年考试时间及科目:2024年1
  • 2025年山东考研成绩查询时间公布 查分入口2月2
  • 2025年山东研究生考试成绩查询入口(已开通)
  • 山东中国海洋大学2025年考研成绩查询入口2月24
  • 山东大学2025年硕士研究生招生考试复试基本分数线
  • 山东青岛科技大学2025年考研成绩查询入口2月24
  • 山东大学2025年硕士研究生招生考试复试分数线