
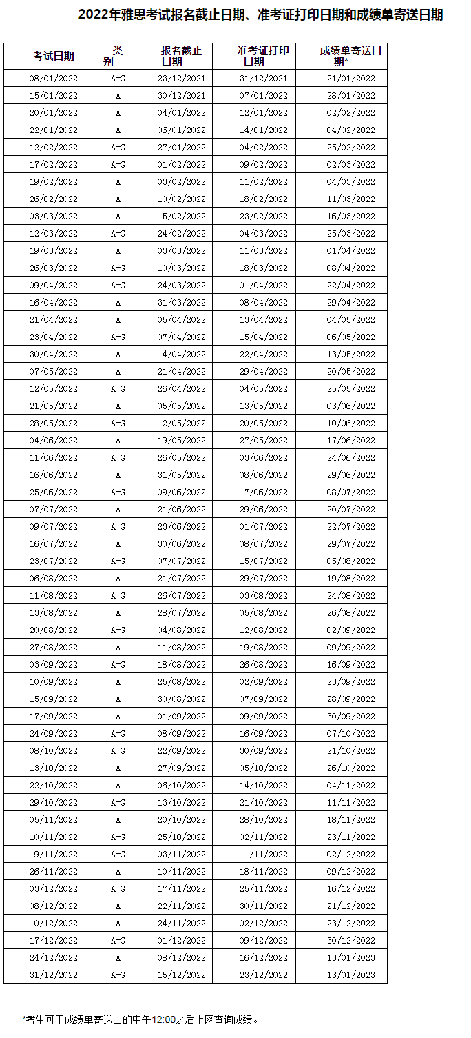
1.报考日程



2.报名流程图

您必须按顺序完成每一步骤。在您完成所有报考步骤后,您的报考申请才会被确认。考试的报名、转考和退考必须在雅思考试报名截止日期前完成。由于考位有限,我们建议您至少提前两个月报名,以保证有充足考位。您可以登录雅思考试报名网站的"考位查询"页面查询全国各雅思考点的考试时间安排和考位情况。

登录 https://ielts.neea.cn/, 注册成为教育部考试中心网上报名系统用户,务必注意姓名、证件号等个人信息的准确性。牢记并妥善保管NEEA用户名和密码。

根据不同的使用目的,选择相应考试类型并预付相应的考试费用。通过支付宝和首信易支付进行网上付费,付费后系统会及时确认费用到账。(了解不同考试类型,请点击这里)

选择考点、考试日期和考试类别。每预定考位,系统会分配一个雅思考试注册号,并显示在"我的状态"页面,这是享受雅思考试服务的凭据之一。

请在预定考位后30分钟内填写报名表,否则预定无效。仔细阅读考生须知,核对个人信息,特别是姓名、证件号等。

确认报名后点击确认支付考费,考试费将从预存账户中扣除。

教育部考试中心雅思报名网站收到您的付款之后,将给您发送电子邮件确认报名成功。退考或转考须在考试报名截止日期前办理。

成功报名雅思考试后,您可在该场考试报名截止日期前两天,登录雅思(IELTS)-中国教育考试网站"查看已注册考试"页面预定口语考试时间。

通过"我的主页"页面上的链接,马上使用"雅思之路"免费官方在线备考课程。

雅思考试-纸笔考生须于笔试之前10天登录雅思报名网站个人主页打印准考证。雅思考试-机考考生须于笔试之前3天登录雅思报名网站个人主页打印准考证,您将以电子邮件形式收到准考证打印通知,请通过报名网站"我的主页"页面打印该准考证, 查看口笔试的具体安排。准考证是考试当天入场的凭据。考试当天携带准考证,身份证件和照片至考点参加考试。
3.报名流程说明
在中国大陆地区,考生可以通过教育部考试中心(NEEA)雅思报名网站报考:雅思考试-纸笔、雅思考试-机考、用于英国签证及移民的雅思考试-纸笔、用于英国签证及移民的雅思考试(学术类)-机考、雅思生活技能类考试。在报名前,请仔细阅读以下说明以完成报名流程。
报名前的准备
电脑要求:您的电脑需联网,装有网络浏览器(建议使用IE高版本或火狐浏览器)及简体中文输入系统,推荐显示分辨率为1024X768。
付费须知:您可以使用支付宝或首信易支付来支付考试费、转考费及考后服务费。如果您取消报名,您所支付的考试费在扣除退考费后将自动退回到您的NEEA账户中。如需更多了解,请咨询两家支付服务提供商。
支付宝客服热线:95188
首信易支付客服热线:(010)4008182626或82652626转分机6644,6829,6851(9:00-17:30)
(010)82652963,82652961(9:00-17:30)
(010)59321108(24小时)
所需个人资料:网上报名所需的个人基本资料有:
中文姓名
姓名拼音/英文姓名
有效身份证件类别
有效身份证件号码
身份证件有效期
身份证件签发机关
出生日期
手机号码
电子邮箱地址
请您务必确保网上报名时提交的个人信息与身份证件上的信息完全一致。如果报名时提交的个人信息与考试当天身份证件个人信息不相符,您将被取消考试资格和考试成绩,并不得转考、退考或退费。请务必在提交网上报名信息之前仔细核对,由于输入错误或虚假信息而引发的一切后果将由您本人承担。
考试政策:在报名之前,请详细阅读教育部考试中心雅思报名网站首页以下考试政策文件:
报名程序
要进行考试报名,您必须按顺序完成下列步骤:
注册成为教育部考试中心雅思报名网站用户
预存考试费
选择考位
填写报名表并确认付费
只有在完成这四个步骤之后,您的报名才正式生效。
第一步:注册成为教育部考试中心雅思报名网站用户
如果您从未使用过教育部考试中心雅思报名网站,您必须先注册成为网站用户。在注册之前,您将看到网上报名协议,您必须点击“同意”按钮接受并遵守这些条款,否则,系统将不允许您进行注册。在提供个人基本信息、证件信息、联系信息并设置密码后,您将得到教育部考试中心报名系统分配给您的一个NEEA用户号(NEEA user ID)。
重要提示:
每位考生只可以注册一个NEEA用户号(NEEA user ID)
您必须牢记自己的NEEA用户号(NEEA user ID)和密码,我们建议您将这些资料存放在一个安全的地方。与他人分享您的NEEA用户号(NEEA user ID)和密码将有可能导致在未经授权的情况下,您个人的报名信息遭到篡改或损害。
您的个人信息将得到有效的安全保障和严格保密。您所填写的个人信息将用于联络您本人以及其他与考试相关的事宜。
每次进入教育部考试中心雅思报名网站时,您可以选择使用您的NEEA用户号(NEEA user ID)、电子邮箱或者手机号码和密码进行登录。只有登录后,您才能进行各项操作。
您可以使用您的NEEA用户号(NEEA user ID)在网上同时报考多场考试,报考次数不受限制,但任意两场考试日期必须间隔7天以上。
您可以在您的个人主页查看个人信息以及更改安全信息。
请注意您的姓名(中文和拼音/英文)、性别、身份证件类型、身份证件号码和出生日期属于重要个人信息,您必须确保这些信息的真实性和准确性。一旦您将重要个人信息输入系统,系统将不允许您进行更改。如果发现以上重要个人信息输入错误,请在报名截止日期前联系教育部考试中心雅思考试全国服务热线(电子邮箱:ielts@mail.neea.edu.cn,电话:010-82345671(服务时间:周一到周五:8:30–17:00;周六、周日:08:30-13:00(如遇因国家法定节假日调休需上班:8:30-17:00);国家法定节假日除外))申请更改,下载《雅思考生更改信息申请表》并提供证明文件以便顺利参加考试。如果在报名截止日期后发现重要个人信息输入错误,请在第一场考试日期前(口语或笔试)联系教育部考试中心雅思考试全国服务热线申请退考,并提供证明文件。
第二步:预存考试费
您支付足额考试费后方可注册考试。请您在报名前根据自己的考试目的谨慎选择注册合适的雅思考试(包括雅思考试、雅思考试机考、用于英国签证及移民的雅思考试、用于英国签证及移民的雅思考试学术类机考及雅思生活技能类考试)。
雅思考试费(含税金额):2,170元人民币
用于英国签证及移民的雅思考试费(含税金额):2,220元人民币
雅思生活技能类考试费(含税金额):1,350元人民币
网上付费:请点击支付宝或首信易支付按钮,您将被引导到相应支付平台进行网上支付。当付费完成后,请记录下报名网站系统所提供交易订单号,以便日后用于核对和查询您的付款。通常教育部考试中心雅思报名网站会立即收到您的付款确认。在极少数情况下,系统会延迟确认考生的付款。因此,请在支付成功24小时之后,登录教育部考试中心雅思报名网站,核实您的付费和报名状态。如果届时仍未看到您的付费确认信息,请拨打教育部考试中心雅思考试全国服务热线(电子邮箱:ielts@mail.neea.edu.cn,电话:010-82345671(服务时间:周一到周五:8:30–17:00;周六、周日:08:30-13:00(如遇因国家法定节假日调休需上班:8:30-17:00);国家法定节假日除外))寻求帮助。
第三步:选择考位
当您成功将考试费预存到您在教育部考试中心雅思报名网站的账户之后,您的个人主页会显示您的帐户余额。只有当余额大于等于考费时才可以选择考位。
选择考试月份和城市后,您将看到所对应的考试日期的页面,及考试类型/模式/级别按钮:
雅思考试提供“学术类”和“培训类”两种考试类型,纸笔和机考两种考试模式,机考可以选择上午场、下午场或者晚场。
用于英国签证及移民的雅思考试提供“学术类”和“培训类”两种考试类型,纸笔和学术类机考两种考试模式。
雅思生活技能类考试分为A1、A2及B1三个级别。
点击相应的考试类型/模式/级别按钮可以预定座位。如果无法点击按钮,则意味着这个考试类型/级别已经报满或者该考试日期不提供相应的考试。
在点击考试类型/模式/级别按钮之后,就完成了选择考位,您的个人主页中即可显示目前报名的信息,这些信息包括考点名称,考试日期,您的注册号(Registration ID)和应支付的考试费金额。您可以通过点击“填写报名表并确认付费”或者“取消预定”这两个按钮来选择进入下一步操作。如果点击“填写报名表并确认付费”按钮,您将会看到报名表。当您填写完报名表并提交后,系统将提示您确认支付考试费。
如果点击“取消预定”按钮,系统将取消您所选的考位。在这种情况下,系统不会从您的帐户中扣除您的考试费。
重要提示:
考试报名、转考和退考截止日期请参见报名网站,请您在选择考试日期时予以留意。由于考位有限,我们建议您尽早报名。
在报名截止日之前,先前已无法选择的考位有可能因其它考生取消预定而被重新释放。如果您没有选择到理想的考试日期或考点,建议您经常到选择考位页面查看您希望报考的日期是否有新释放出的考位空额。
请记录下您的注册号(Registration ID)并把它存放在一个安全的地方。注册号(Registration ID)及雅思考号(IELTS candidate number)都将用来确认您参加考试的资格,并凭此享受考试相关服务。
如果您在没有确认支付考试费的情况下离开或意外掉线,请务必在选择考位后的30分钟内回来完成所有步骤并确认付费,否则选择无效。在选择无效的情况下,系统不会从您的NEEA账户中扣除考试费。
第四步:填写报名表并确认付费
选择考位后,在个人主页上有"填写报名表并确认付款"按钮。请点击此按钮填写报名表。
当您进入报名表页面前,请详细阅读《雅思考试考生须知》,并在阅读之后点击接受按钮。如果您拒绝点击此按钮,将无法继续报名程序。
当您看到报名表后,请按照屏幕上的指令进行操作。请注意系统不允许您重复输入您的姓名、性别、生日,身份证件号码,考试日期和考点信息,因为在此之前,您已输入上述信息。
当您填写完成报名表后,请点击提交按钮并接受《雅思考试考生声明》。之后系统将引导您进入“用余额付款”页面,此页面将显示您的NEEA账户余额,并提示您确认支付考试费。确认支付考试费后,您就完成了所有报名步骤。此时系统将引导您进入个人主页,如有需要,您可以选择点击下列其他服务按钮:“修改报名表”;“转考”;“取消报名并退回部分费用”。
其他服务
修改报名表:点击“修改报名表”按钮将允许您修改此前所提交的报名表信息。这一功能将在您所选择的考试报名截止日期后失效。
转考:在成功报名后,您如果想要改变考试日期和/或考点,可以在报名截止日期之前登录教育部考试中心雅思报名网站个人主页,交纳转考费用后点击“转考”按钮选择新的考试日期和/或考点。报名截止日期之后不再受理转考申请。
转考费用:420元人民币
重要提示:
不同考试(雅思考试-纸笔、雅思考试-机考、用于英国签证及移民的雅思考试-纸笔、用于英国签证及移民的雅思考试(学术类)-机考、雅思生活技能类考试)之间无法直接转考。如您需要报考其他考试,请在报名截止日期之前取消已经注册的考试后重新报考。
转考第一步:支付转考费

转考第二步:执行具体的转考操作

取消报名并退回部分费用:报名截止日期之前,您可以登录教育部考试中心雅思报名网站取消已经注册的考试,得到扣除420元人民币退考费后的已支付考试费余额。请进入个人主页,选择“查看已注册考试”,点击“退考”按钮取消报名。在您确认后,此前的报名将被取消,扣除退考费后的余额将保存至您的NEEA帐户余额中,您可以在个人主页查看退款记录。余额可以用于再次报考。
获得退款:您如果需要将NEEA帐户余额退回至自己的银行账户,请登录个人主页,选择“申请退款”项目,根据网站提示提交退款信息后,下载《退款申请表》,填写完整并发送至教育部考试中心雅思考试全国服务热线(电子邮箱:ielts@mail.neea.edu.cn,电话:010-82345671(服务时间:周一到周五:8:30–17:00;周六、周日:08:30-13:00(如遇因国家法定节假日调休需上班:8:30-17:00);国家法定节假日除外))。在您的申请表确认无误后的四至六周内,退款将退还至您的原银行帐户或通过银行转账至您所指定的账户。如果您有任何问题或没有收到退款,请及时联系教育部考试中心雅思考试全国服务热线。
退款注意事项如下:
一年以内网上支付的考生,您可以选择将退款退至原支付卡,不收取银行手续费。
如原支付卡无法接收退款或网上支付已超过1年,可采用银行汇款方式接收退款,退款将通过银行转账汇至您提供的银行账户。
重要提示:
您的报名一旦取消,将无法恢复。如果您想再次报名,必须从上面所介绍的第二步开始做起。
没有按照以上规定办理转考或退考手续,以及在考试当天缺席的考生,考试费用将无法退还。
口语考试预订
雅思考试-纸笔、用于英国签证及移民的雅思考试-纸笔的口语考试通常会安排在笔试前一周至笔试后一周的任意一天;用于英国签证及移民的雅思考试-学术类机考、雅思考试-机考的口语考试通常会安排在笔试当天或者与笔试日期尽可能相邻的日期。根据考务安排的需要,在特殊情况下,口试日期有可能超出此区间,英国文化教育协会保留调整口试安排的权利。口语考试预订于每场考试报名截止日期前2天开放,同报名截止时间结束。这2天预订时段中,英国文化教育协会将根据考务安排在各个雅思考点开放口语日期,供您根据个人需求登录报名网站在可供选择的日期预订上/下午时间段。英国文化教育协会将尽量根据您的意愿进行口试日期及时间安排。如果您放弃预订、错过预订时间或者无法在线预订,系统将稍后自动做出口试安排。您终的口试安排将显示在准考证上,且不能按照您的要求进行更改。
重要提示:
您只能预订口语考试,预订一旦确定无法更改。
如确认日期后取消,您将不允许再次选择,系统将自动安排口语考试并将终日期及时间显示在准考证上。
您如果在预订了口语日期后又选择了转考或退考,预订的口试日期将自动失效。
打印准考证
当您完成付费程序之后,个人主页将显示付费确认,整个报名程序也随之完成。您在报名注册成功后,将收到电子邮件确认。
考生需要在如下时间登录雅思报名网站个人主页打印准考证并作为考试当天入场的凭据。准考证也可以通过打印通知提供的网址下载。如果准考证打印时间有所变化,教育部考试中心雅思报名网站将发布公告。请务必随时关注新通知
报考雅思考试-纸笔、用于英国签证及移民的雅思考试-纸笔的考生:笔试日期前10天。报考用于英国签证及移民的雅思考试-学术类机考、雅思考试-机考的考生:笔试日期前3天。
重要提示:
请务必在考试之前打印准考证,并在考试当天带到考点作为入场凭据。
请注意如果未能及时打印准考证,可能导致您错过口语考试。
友情提示:
1.个人主页
您的个人主页是了解整个报名过程中每个步骤所处状态的核心。成功报名之后,您将在个人主页了解到考试安排的重要的信息(雅思考号,口试时间,口笔试安排等等)。此外,您可以进入个人主页来进行下列操作:
在报名截止日期之前更改报名表上的可更改信息
在口试预定服务开放期间在可供选择的日期预定上午/下午的口语考试
在报名截止日期之前更改考试日期及/或考点(将额外收取转考费并取决于实际座位情况)
在报名截止日期之前取消报名(将扣除420元人民币退考费)
报考雅思考试-纸笔、用于英国签证及移民的雅思考试-纸笔的考生在笔试后第13天查看分数;报考用于英国签证及移民的雅思考试-学术类机考、雅思考试-机考的考生在笔试后第3天查看分数。如遇公共节假日则可能顺延。
在考试后申请考后服务
2.关于NEEA用户号(NEEA User ID)、注册号(Registration ID)和雅思考号(IELTS Candidate Number)
教育部考试中心雅思报名系统向考生提供下列号码。他们的名称和用途如下,请了解它们的区别,正确使用:
NEEA用户号(NEEA User ID):每位考生只有一个NEEA用户号,与用户密码共同使用,是考生用于登录教育部考试中心雅思报名网站的身份证明。没有您的授权,他人无法登录获知您的个人信息。
注册号(Registration ID):在您完成所有报名程序后,由教育部考试中心雅思报名系统生成的一个确认号码。每位考生在成功报考每考试后都会收到一个不同的注册号,在您向教育部考试中心全国服务热线咨询时需提供该号码,同时这个号码也是您获得雅思考号的依据。
雅思考号(IELTS Candidate Number):在通过教育部考试中心雅思报名网站得到考生的报名数据之后,由雅思全球考务系统自动生成的一个号码。考生可以在个人主页查询到自己的雅思考号,准考证上同样会显示雅思考号。雅思考号用于考试当天答卷,申请考后服务并将打印在考试成绩单上。
4.考点查询
5.报名入口

