首页 > 会考 > 真题题库 > 吉林会考 > 2021年吉林普通高中会考数学真题及答案

2021年吉林普通高中会考数学真题及答案(Word版)

时间:2021-09-23 17:41:00   来源:无忧考网     [字体:小 中 大]

【文档名称】 2021年吉林普通高中会考数学真题及答案(Word版).doc

【文档格式】 Word版

【文档下载】 点击下载WORD文档

【文档预览】 无忧考网整理发布2021年吉林普通高中会考数学真题及答案(Word版),前五页预览如下:


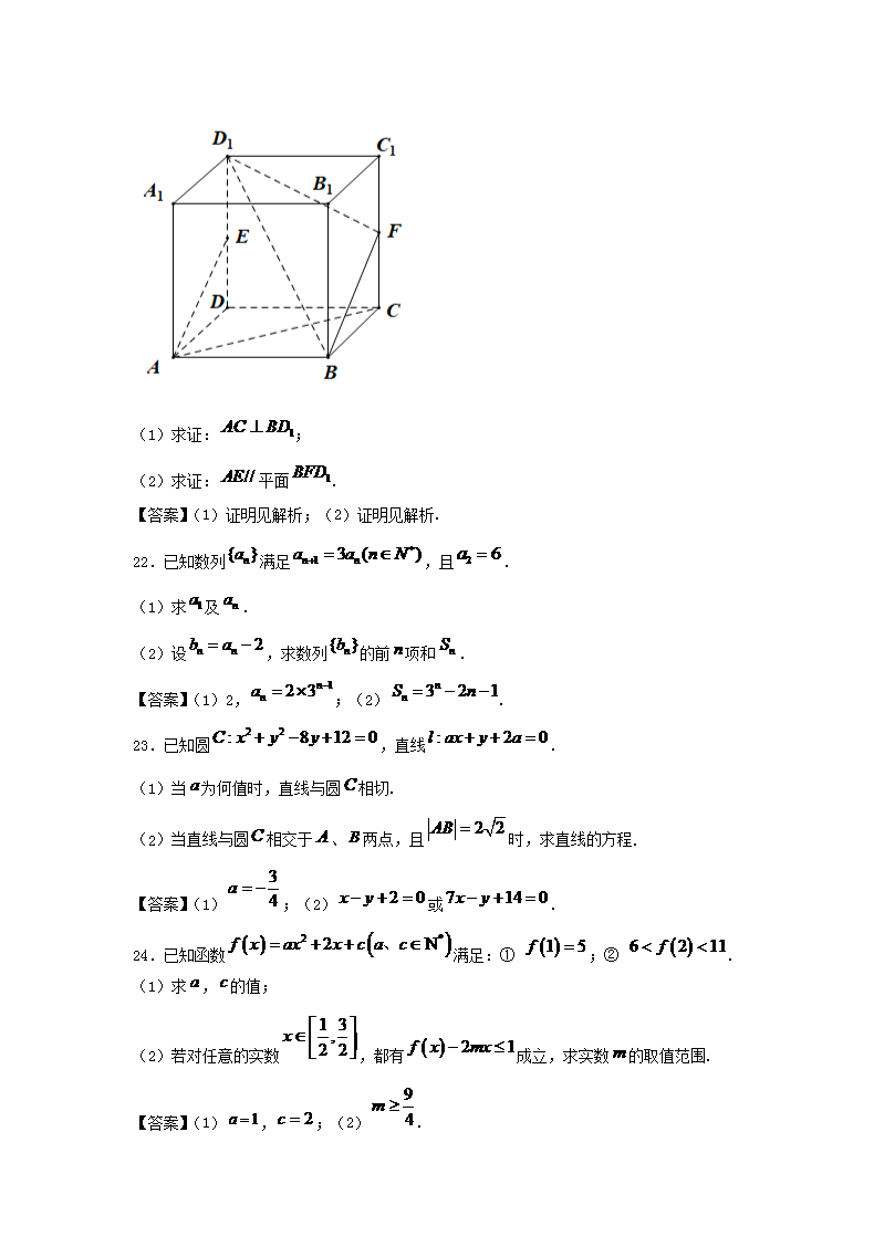
2021年吉林普通高中会考数学真题及答案.doc
立即下载Word高清文档,方便收藏和打印
编辑推荐:
下载Word文档
=会考试题推荐=
  • 2025年吉林学考选择性考试生物真题及答案
  • 2025年吉林学考选择性考试政治真题及答案
  • 2025年吉林学考选择性考试历史真题及答案
  • 2025年吉林学考选择性考试化学真题及答案
  • 2025年吉林学考选择性考试地理真题及答案
  • 2025年吉林学考选择性考试物理真题及答案
  • 2021年吉林普通高中学业水平考试化学试题及答案
  • 2019年吉林普通高中会考通用技术真题及答案
  • 查看高中会考全部真题>>
会考吉林热点文章排行榜
  • 2025年上半年吉林普通高中学业水平合格性考试时间
  • 2024年下半年吉林普通高中学业水平合格性考试时间
  • 2025年下半年吉林普通高中学业水平合格性考试时间
  • 2025年吉林普通高中学业水平考试成绩查询入口(吉
  • 2024年下半年吉林长春普通高中学业水平合格性考试
  • 2025年吉林学考选择性考试生物真题及答案
  • 2025年上半年吉林长春普通高中学业水平合格性考试
  • 2024年下半年吉林吉林市普通高中学业水平合格性考