首页 > 考研 > 真题题库 > 1996年考研数学一真题及答案

1996年考研数学一真题及答案(Word版)

时间:2021-08-05 16:08:00   来源:无忧考网     [字体:小 中 大]

【文档名称】 1996年考研数学一真题及答案(Word版).doc

【文档格式】 Word版

【文档下载】 点击下载WORD文档

【文档预览】 无忧考网整理发布1996年考研数学一真题及答案(Word版),前五页预览如下:


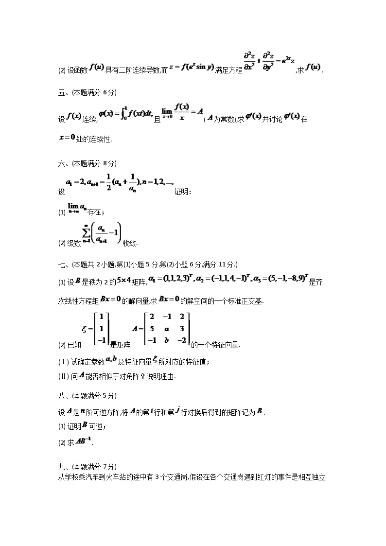
1996年考研数学一真题及答案.doc
立即下载Word高清文档,方便收藏和打印
编辑推荐:
下载Word文档
=考研试题推荐=
  • 2024年内蒙古农业大学社会工作原理考研真题
  • 2024年内蒙古农业大学社会工作实务考研真题
  • 2024年内蒙古农业大学森林作业环境学考研真题
  • 2024年内蒙古农业大学农业知识综合四考研真题
  • 2024年内蒙古农业大学马克思主义中国化考研真题
  • 2024年内蒙古农业大学马克思主义基本原理考研真题
  • 2024年内蒙古农业大学林业基础知识综合考研真题
  • 2024年江苏南京审计大学税务专业基础考研真题
  • 查看考研全部真题>>
考研热点文章排行榜
  • 考研时间2026年具体时间及科目安排(2025年1
  • 教育部:2025年全国硕士研究生招生初试和报名时间
  • 山东考研时间2025年考试时间及科目:2024年1
  • 上海考研时间2025年考试时间及科目:2024年1
  • 北京考研时间2025年考试时间及科目:2024年1
  • 考研时间2025年考试时间及科目:2024年12月
  • 2024年内蒙古农业大学社会工作原理考研真题
  • 吉林2025年考研成绩公布时间 预计2月24日后公