2021年黑龙江双鸭山中考英语真题及答案(图片版)

时间:2021-06-30 13:44:00   来源:无忧考网     [字体: ]

【文档名称】 2021年黑龙江双鸭山中考英语真题及答案(图片版).doc

【文档格式】 图片版

【文档下载】 点击下载WORD文档

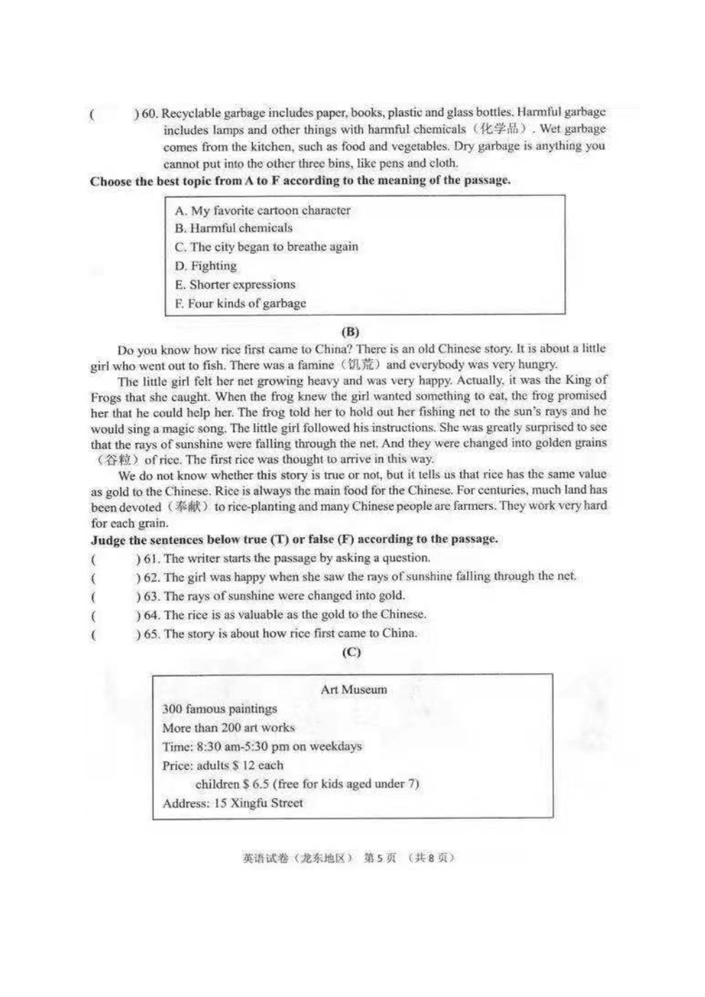
【文档预览】 无忧考网整理发布2021年黑龙江双鸭山中考英语真题及答案(图片版),前五页预览如下: