首页 > 高考 > 最新信息 > 浙江高考 > 2021年浙江省高考艺术类考生综合分分段表

2021年浙江省高考艺术类考生综合分分段表

时间:2021-06-26 15:03:00   来源:广东省教育考试院     [字体:小 中 大]
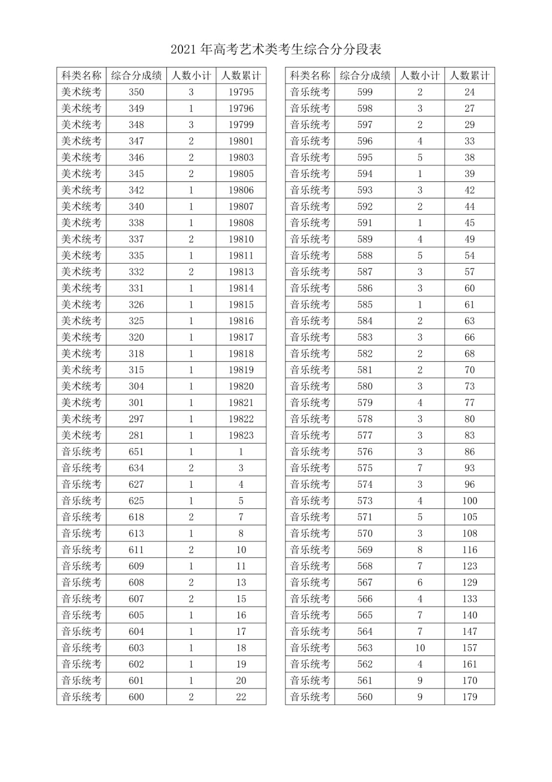
【#高考# #2021年浙江省高考艺术类考生综合分分段表#】®无忧考网从广东省教育考试院获悉,2021年浙江省高考艺术类考生综合分分段表已公布,具体详情如下:

































































































2021年浙江省高考艺术类考生综合分分段表
=高考试题推荐=
  • 2025年6月浙江普通高中学业水平选择性考试地理试题及答案
  • 2025年6月浙江普通高中学业水平选择性考试技术试题及答案
  • 2025年浙江高考语文试题及答案
  • 2025年浙江高考英语试题及答案
  • 2025年浙江高考数学试题及答案
  • 2024年6月浙江普通高校招生选考通用技术真题及答案
  • 查看高考全部真题 >>
=高考文档推荐=
  • 2026年浙江普通高等学校戏曲类本科专业招生省际联考工作的通知
  • 2026年浙江高考单独考试招生报名注意事项
  • 2026年浙江高考报名时间:11月1日至11月10日
  • 2026年浙江杭州高考报名时间:11月1日至11月10日
  • 2026年浙江湖州高考报名时间:11月1日至11月10日
  • 2026年浙江嘉兴高考报名时间:11月1日至11月10日
  • 查看高考全部文档 >>
2021年浙江省高考艺术类考生综合分分段.docx
立即下载Word高清文档,方便收藏和打印(2737字)
编辑推荐:
下载Word文档
高考浙江热点文章排行榜
  • 2025年浙江高考网上报名及缴费时间公布 报名入口
  • 浙江温州高考时间2025年具体时间及科目安排(6月
  • 浙江宁波高考时间2025年具体时间及科目安排(6月
  • 浙江金华高考时间2025年具体时间及科目安排(6月
  • 浙江嘉兴高考时间2025年具体时间及科目安排(6月
  • 浙江湖州高考时间2025年具体时间及科目安排(6月
  • 浙江高考时间2025年具体时间及科目安排(6月7日
  • 2025年浙江高考成绩查询网站、查分入口:浙江省教