首页
>
高考
>
最新信息
>
山西高考
>
晋中高考
>
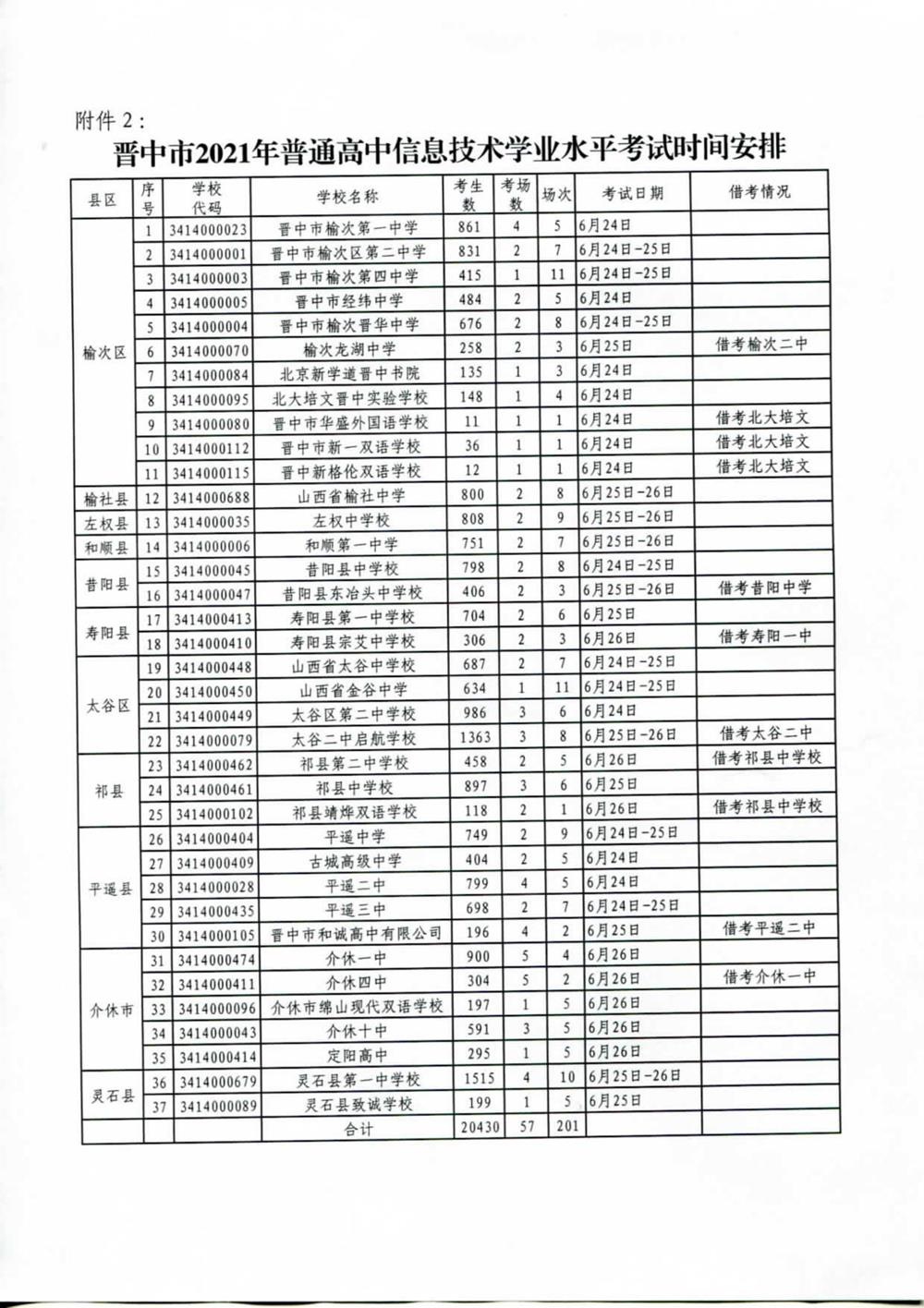
2021年山西晋中普通高中信息技术学业水平考试时间:6月24
2021年山西晋中普通高中信息技术学业水平考试时间:6月24-26日
时间:2021-06-09 13:52:00 来源:山西招生考试网 [字体:
小
中
大
]
【#
高考
# #
2021年山西晋中普通高中信息技术学业水平考试时间:6月24-26日
#】
©
无忧考网
从山西招生考试网了解到,2021年山西晋中普通高中信息技术学业水平考试有关工作的通知已经发布,为方便考生了解情况,现将有关事宜通知如下:
=高考试题推荐=
2025年山西普通高中学业水平选择性考试政治试题及答案
2025年山西普通高中学业水平选择性考试物理试题及答案
2025年山西普通高中学业水平选择性考试生物试题及答案
2025年山西普通高中学业水平选择性考试历史试题及答案
2025年山西普通高中学业水平选择性考试化学试题及答案
2025年山西普通高中学业水平选择性考试地理试题及答案
查看高考全部真题 >>
=高考文档推荐=
2026年山西晋中高考网上报名时间及入口:2025年10月27日-11月1日
2025年山西晋中高考录取结果查询入口开通
2025年山西晋中高考网上填报志愿时间:6月27日-8月13日
关于调整山西晋中市2025年普通高校招生英语口试考点的公告
2025年山西晋中高考成绩查询时间及查分入口(6月25日公布成绩 成绩复核6月27日)
2025年山西晋中高考志愿填报时间及入口(6月27日开始)
查看高考全部文档 >>
2021年山西晋中普通高中信息技术学业水.docx
立即下载Word高清文档,方便收藏和打印(492字)
编辑推荐:
下载Word文档
高考山西热点文章排行榜
2025年山西高考成绩查询网站、查分入口:山西招生
山西招生考试网:2025年山西高考录取结果查询入口
山西招生考试网:2025年山西高考补报名入口于11
山西招生考试网:2025年山西高考成绩查询入口开通
2025年山西高考准考证打印网站入口:http:/
2025年山西高考考点考场查询入口网址:http:
山西太原高考时间2025年具体时间及科目安排(6月
山西高考时间2025年具体时间及科目安排(6月7日