
一、关于考试与成绩
1.2021年全国统考科目有哪些?学业水平选择性考试科目有哪些?
2021年,我省普通高考实行“3+1+2”模式,考试科目由3门全国统考科目和3门学业水平选择性考试科目组成。
“3”为全国统考科目语文、数学、外语(含听力,下同)3门,由国家统一命题。其中,外语科目考生在高考报名时可以从英语、俄语、日语、德语、法语、西班牙语6个语种中任选1个语种。
“1”为考生在学业水平选择性考试科目物理、历史2门首选科目中选择1门,由我省自主命题。
“2”为考生在学业水平选择性考试科目思想政治、地理、化学、生物4门再选科目中选择2门,由我省自主命题。
2.考试时间如何安排?
考试时间安排在6月7日至9日,共3天。语文科目考试时长为150分钟,数学、外语科目考试时长均为120分钟,学业水平选择性考试科目每科考试时长均为75分钟。具体考试安排为:

全国统考科目的考试安排以教育部统一公布的安排为准,如有调整,我省学业水平选择性考试科目的考试安排相应调整。
3.高考文化总分是如何组成的?
2021年,我省普通高考文化总分由语文、数学、外语3门全国统考科目成绩和3门学业水平选择性考试科目成绩构成,满分为750分。
语文、数学、外语3门全国统考科目,每门满分为150分,均以原始分计入。
3门学业水平选择性考试科目每门满分为100分。其中,物理、历史成绩以原始分计入,思想政治、地理、化学、生物成绩依据《福建省普通高中学业水平选择性考试科目赋分办法》转换后计入。
4.思想政治、地理、化学、生物4门再选科目考试成绩的等级分是如何转换的?
等级分是按统一规则,由原始分进行等级划定后,再由等级转换而来的分数。在转换时以30分作为等级转换分的赋分起点,等级转换分满分为100分。
第一步,将每科考生的原始分从高到低划分为A、B、C、D、E共5个等级,各等级人数所占比例分别为15%、35%、35%、13%和2%。
第二步,将A至E等5个等级内的考生原始分,依照等比例转换原则,分别转换到100~86分、85~71分、70~56分、55~41分和40~30分五个分数区间,得出考生的等级转换分。
每科计算等级转换的基数为实际参加该科目考试的全部考生人数(含物理科目组合和历史科目组合的全部考生)。
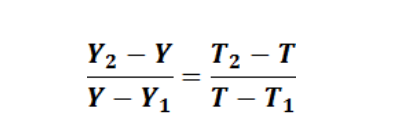
转换公式:

其中:Y表示原始分;T表示转换分;
Y1、Y2分别表示原始分区间的下限和上限;
T1、T2分别表示转换分区间的下限和上限。
(公式转换示例可详见2019年4月25日《福建日报》刊登福州一中数学正高级教师陈德燕的《选择性考试科目等级转换分的计算》)。(电子版链接为:http://fjrb.fjsen.com/fjrb/html/2019-04/25/content_1178816.htm?div=0)
二、关于招生计划编制和录取批次设置
5.2021年招生计划是如何编制的?
2021年,我省普通高校招生类别分为普通类(含物理科目组普通类、历史科目组普通类,下同)、艺术类(含物理科目组艺术类、历史科目组艺术类,下同)、体育类(含物理科目组体育类、历史科目组体育类,下同),各类招生计划按照物理科目组合、历史科目组合两类分列编制。
高校根据经济社会发展的需要和对人才需求的分析、预测,结合学校办学条件、毕业生就业情况和生源情况,按教育部和我省有关计划编制原则和要求编制招生来源计划。可不编制分省计划的特殊类型招生,按国家有关规定执行。
6.2021年招生录取批次是如何设置的?
普通类录取分为本科提前批、本科批和高职(专科)批3个批次。
艺术类录取分为本科提前批、本科批(含省考阶段、校考阶段)和高职(专科)批3个批次。
体育类录取分为本科批和高职(专科)批2个批次。
三、关于志愿设置和填报
7.2021年在志愿设置和填报方面有哪些主要变化?
与改革前相比,主要在志愿单位、志愿数量和填报要求等方面发生了变化。
(1)志愿单位
改革前,本科批次原则上以“院校”为志愿填报单位,1所院校即为1个志愿,按“院校+专业”的方式进行志愿填报。
改革后,本科批次原则上以“院校专业组”为志愿填报单位,1个院校专业组即为1个志愿(内设6个专业志愿和是否服从专业调剂选项,下同),按“院校专业组+专业”的方式进行志愿填报。
(2)志愿数量
改革前,普通类本科批常规志愿设置16个院校志愿,艺术类本科A批、B批常规志愿分别设置12个、16个专业志愿,体育类本科批常规志愿设置6个院校志愿。
改革后,普通类本科批常规志愿设置40个院校专业组志愿,艺术类本科批省考阶段常规志愿设置40个专业志愿,体育类本科批常规志愿设置20个院校专业组志愿。
(3)填报要求
改革后,考生填报志愿时,选择性考试科目须符合拟填报院校专业组的选考科目要求。
8.如何理解普通类本科“院校专业组”的志愿模式?
“院校专业组”指的是某一高校对考生选考科目要求相同的专业的组合。一所院校可设置一个或多个“院校专业组”,每个“院校专业组”内可包含数量不等的专业。同一“院校专业组”内各专业对考生的选考科目要求相同。
例:“A大学专业组1”选考科目要求为首选科目物理、再选科目不限,包括通信工程等若干专业;“A大学专业组2”选考科目要求为首选科目物理、再选科目化学或生物,包括临床医学等若干专业。如考生拟报考A大学通信工程和临床医学2个专业,应符合以上2个专业的选考科目要求,填报“A大学专业组1”和“A大学专业组2”两个院校专业组志愿,并分别在两个院校专业组中填报通信工程、临床医学专业志愿。
9.各批次志愿是怎样设置的?
(1)普通类
本科提前批常规志愿设1个第一志愿和3个平行且有顺序排列的参考志愿,均为院校专业组志愿。
本科批常规志愿设40个院校专业组志愿。
专科批常规志愿设40个专业志愿。
各批次常规志愿录取结束后,设置征求志愿。
(2)艺术类
本科提前批常规志愿设1个院校专业组志愿。
本科批分为省考阶段和校考阶段依次进行录取,省考阶段为使用我省艺术类专业省级统考成绩录取并执行我省统一投档原则的院校专业,常规志愿设40个专业志愿,校考阶段为使用校考成绩录取的院校,常规志愿设1个院校专业组志愿。
专科批常规志愿设40个专业志愿。
各批次常规志愿录取结束后,设置征求志愿。
(3)体育类
本科批常规志愿设20个院校专业组志愿;专科批常规志愿设20个专业志愿。
各批次常规志愿录取结束后,设置征求志愿。
10.特殊类型志愿是如何设置的?填报特殊类型志愿有何要求?
在普通类本科提前批之后、普通类本科批之前,进行相关特殊类型招生录取,设1个院校专业组志愿,按特殊类型项目要求进行投档录取。其中,地方农村专项计划招生设1次征求志愿。
特殊类型招生一般都有特殊条件要求,考生需要对照自身条件符合相关院校相应要求方可填报。
11.志愿填报时,考生选考科目应如何对应高校专业选考范围要求?
高校依据教育部有关文件要求,提出本校招生专业的选考科目要求,考生应对应高校招生专业的选考科目要求,精准报考。
一是要符合首选科目要求。物理科目组合下的专业组,只有首选科目为物理的考生才能填报;历史科目组合下的专业组,只有首选科目为历史的考生才能填报。
二是要符合再选科目要求。
(1)招生专业不提再选科目要求的,符合首选科目要求的考生均可报考。
(2)招生专业提出1门再选科目要求的,考生必须选考该科目方可报考。例如某校某专业组对化学科目提出要求,符合首选科目要求且选考化学的考生才能报考。
(3)招生专业提出2门再选科目要求且均须选考的,考生须同时选考这2门科目方可报考。例如某校某专业组同时对化学和生物科目提出要求,符合首选科目要求且同时选考化学和生物科目的考生才能报考。
(4)招生专业提出2门再选科目要求且只需选考其中1门的,考生选考该2门科目中的任意1门即可报考。例如某校某专业组要求考生选考化学或生物科目,符合首选科目要求且只要选考科目中有化学或生物科目的考生即可报考。
12.如何查询招生院校对选择性考试科目的要求?
各招生院校在2019年确定的院校专业组对选择性考试科目的要求发布在福建省教育厅(http://jyt.fujian.gov.cn/)“专题”中“福建省高考综合改革”栏目,可先查询参考,具体以省教育考试院公布的招生计划为准。
13.考生填报志愿时应注意哪些事项?
考生要认真做好填报志愿的准备工作,仔细阅读我省有关招生政策和拟报考高校的招生章程,根据自己的成绩、志向、体检结论等,慎重报考。
四、关于投档录取
14.2021年普通类的录取方式是什么?
2021年,我省普通高校招生依据考生成绩,参考考生综合素质评价,择优录取。按物理科目组合、历史科目组合两类分列编制招生计划、分开划线,按类分批次分开投档录取。
普通类本科提前批第一志愿按梯度志愿投档录取模式,参考志愿和征求志愿实行“院校+专业组”平行志愿投档录取模式;本科批招生实行“院校+专业组”平行志愿投档录取模式;高职(专科)批实行专业平行志愿投档录取模式。
15.2021年艺术类的录取方式是什么?
艺术类本科提前批实行“院校+专业组”志愿投档录取模式;本科批省考阶段实行专业平行志愿投档录取模式,本科批校考阶段实行“院校+专业组”志愿投档录取模式;高职(专科)批实行专业平行志愿投档录取模式。
16.2021年体育类的录取方式是什么?
体育类本科批实行“院校+专业组”平行志愿投档录取模式;高职(专科)批实行专业平行志愿投档录取模式。
17.如何理解院校专业组平行志愿投档规则?
院校专业组平行志愿投档是以院校专业组为投档单位,按考生投档分从高分到低分排序,依次检索考生所填院校专业组志愿,符合投档条件的即向该院校专业组投档,如没有符合投档条件的则不能投档。上述过程完成后,无论档案是否投出,均视为该考生已享受了本次平行志愿投档机会。
如果考生档案投档到某院校专业组后,因故被退出,将不再补投到该次考生所填报的其他院校专业组志愿。
18.平行志愿投档时,普通类、艺术类、体育类考生的投档分是如何构成的?
普通类考生的投档分为高考总成绩(含政策性加分)。
艺术类和体育类考生的投档分由高考总成绩(含政策性加分)和专业分按一定比例构成。
(1)艺术类综合分的计算方法为:
①编导类的综合分=高考总成绩×60%+考生省级专业统考成绩×2.5×40%。
②书法类的综合分=高考总成绩×50%+考生省级专业统考成绩×2.5×50%。
③美术、播音与主持类的综合分=高考总成绩×40%+考生省级专业统考成绩×2.5×60%。
④音乐、舞蹈、表演类的综合分=高考总成绩×30%+考生省级专业统考成绩×2.5×70%。
(2)体育类综合分=高考总成绩×30%+考生体育成绩×7.5×70%。
根据教育部有关规定,所有高考加分项目及分值均不得用于不安排分省分专业招生计划的招生项目。
19.平行志愿投档时,考生投档分相同时如何排序?
1.普通类考生高考总成绩排序。实行平行志愿投档录取前,应先根据考生高考总成绩从高分到低分进行排序。考生成绩分数相同的,先按享受同等条件优先录取的条件排序,再依次按语文数学两科成绩之和、语文或数学单科成绩、外语成绩、首选科目(物理或历史)成绩、再选科目单科成绩、再选科目单科次高成绩从高到低排序;如果位次仍相同,再比较考生志愿顺序,顺序在前者优先投档,志愿顺序相同则全部投档,是否录取由招生院校决定。
2.艺术类和体育类考生综合分排序。实行平行志愿投档录取前,先根据艺术类考生和体育类考生综合分从高分到低分进行排序。考生综合分相同的,先按享受同等条件优先录取的条件排序,再依次按高考总成绩、语文数学两科成绩之和、语文或数学单科成绩、外语成绩、首选科目(物理或历史)成绩、再选科目单科成绩、再选科目单科次高成绩从高到低排序;如果位次仍相同,再比较考生志愿顺序,顺序在前者优先投档,志愿顺序相同则全部投档,是否录取由招生院校决定。
五、关于适应性考试
20.为什么要举行“适应性考试”?
我们借鉴第二批改革试点省份的经验做法,准备在2021年1月至4月和其他7省同步开展从报名、命题,到考试、评卷、录取的全真全员全过程新高考适应性考试。高考报名考生全部参加适应性考试,考试时间为2021年1月23日至25日3天,志愿填报和录取工作安排在3、4月份进行。
开展2021年新高考适应性考试,主要目的就是为了全面检验2021年新高考准备工作情况,为新高考各环节实施提前进行一次预演,也是为了使考生熟悉考试、志愿填报和高校了解录取的流程及基本方法,及早发现新高考实施过程中可能存在的问题和风险隐患,对可能存在的风险点进行评估和研判,进一步优化工作流程、完善工作预案、规避工作风险,使方案做到社会易于理解、考生易于参与、高校易于录取,为2021年高考综合改革平稳实施奠定基础。
21.如何正确对待“适应性考试”?
考生和家长要正确看待适应性考试,既要动员考生积极参加,把它当作一次难得的练兵机会,但不能将适应性考试和录取的结果与正式高考考试、录取的结果挂钩,使其真正定位于“适应性考试”。
为确保适应性考试工作达到预期效果,将严格按照教育部有关规定和新高考的工作标准和要求,对考生报名、命题制卷、考场编排、考试组织、扫描评卷、志愿填报和投档录取等全过程全链条开展全真演练,做到标准不降、步骤不减、程序不变。

