首页 > 会考 > 真题题库 > 内蒙古会考 > 2010年内蒙古普通高中会考数学真题及答案

2010年内蒙古普通高中会考数学真题及答案(Word版)

时间:2021-01-14 16:44:00   来源:无忧考网     [字体:小 中 大]

【文档名称】 2010年内蒙古普通高中会考数学真题及答案(Word版).doc

【文档格式】 Word版

【文档下载】 点击下载WORD文档

【文档预览】 无忧考网整理发布2010年内蒙古普通高中会考数学真题及答案(Word版),前五页预览如下:


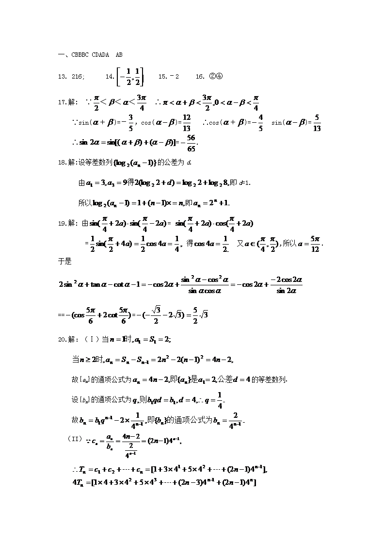
2010年内蒙古普通高中会考数学真题及答.doc
立即下载Word高清文档,方便收藏和打印
编辑推荐:
下载Word文档
=会考试题推荐=
  • 2025年内蒙古学考选择性考试生物真题及答案
  • 2025年内蒙古学考选择性考试化学真题及答案
  • 2025年内蒙古学考选择性考试地理真题及答案
  • 2025年内蒙古学考选择性考试政治真题及答案
  • 2025年内蒙古学考选择性考试历史真题及答案
  • 2025年内蒙古学考选择性考试物理真题及答案
  • 2021年内蒙古普通高中学业水平考试英语试题及答案
  • 2016年内蒙古普通高中会考化学真题
  • 查看高中会考全部真题>>
会考内蒙古热点文章排行榜
  • 内蒙古2024年秋季学期普通高中学业水平合格性考试
  • 2025年内蒙古普通高中学业水平考试成绩查询入口(
  • 内蒙古赤峰2024年秋季学期普通高中学业水平合格性
  • 内蒙古包头2024年秋季学期普通高中学业水平合格性
  • 内蒙古呼和浩特2024年秋季学期普通高中学业水平合
  • 2025年内蒙古学考选择性考试地理真题及答案
  • 内蒙古2024年秋季学期普通高中学业水平合格性考试
  • 2025年内蒙古学考选择性考试生物真题及答案